@李东岳 在 pitzDaily算例LES与RANS的结果不一致 中说:
您那边有对比过RANS与LES计算的湍流粘度么?
没有。但是不应该会这么大。
看了我那个2D Smagorinsky跟RANS对不上是Smagorinsky的问题。你那个2D WALE能跟2D rans对上?
我这里用3D计算的
@李东岳 在 pitzDaily算例LES与RANS的结果不一致 中说:
您那边有对比过RANS与LES计算的湍流粘度么?
没有。但是不应该会这么大。
看了我那个2D Smagorinsky跟RANS对不上是Smagorinsky的问题。你那个2D WALE能跟2D rans对上?
我这里用3D计算的
我再检查一下吧,之前检查没啥问题。您那边有对比过RANS与LES计算的湍流粘度么?差别有这么大么?
流场看着和这个整体上好像差别没那么大,但算完湍流粘度,感觉不太对。

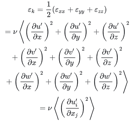
先算一段时间获得平均速度,获得u_avg, v_avg, w_avg,然后用u' =u-u_avg,v' = v- v_avg, w' = w -w_avg获得脉动速度。
用下面这个公式计算的:

李老师,我这边算了一下LES用WALE模型计算的,和标准K-E模型速度场差别没有那么大,但是湍流耗散率相差了接近10倍,LES算的湍流粘度分布很奇怪,不知道是不是这个公式不适合统计湍流粘度。您有尝试过LES数据里计算湍流粘度并与RANS模拟进行对比么?




http://dyfluid.com/datadrivenles.html 李老师方便提供完整编译的文件么?最近在编译数据驱动RANS模型,但是编译的时候,总是报错,libtorch与openfoam的typename冲突,不知道咋解决。
李老师,有没有尝试过使用GPU的libtorch+openfoam,我配置完,编译通过了,但用的还是CPU,感觉挺难搞的。
@剑金锋 我将QEMU软件将虚拟机VOF转化为iso时,直接将硬盘设置的500GB空间也填进去了。
@Amadeus 请问您怎么将虚拟机压缩成这么小的iso文件?我的虚拟机都快150G了,生成iso体积太大了。