
使用ESI版本,应该是1812之后吧
YuPeng
帖子
-
SnappyHexMesh能否只在xy两个方向上加密网格 -
SnappyHexMesh能否只在xy两个方向上加密网格 -
olaFlow 造波为什么差别这么大@longsheng 造波不理想,我换waves2foam了
-
openfoam工作站自动关机 -
openfoam工作站自动关机@Amadeus 好的
-
openfoam工作站自动关机大家好,我在计算时遇到了一个问题,机器是一个双路的 AMD 128核服务器,内存为256G。并行测试时,48核可以计算,但是72核和96核在计算的时候就会自动关机。对机器进行stress 压力测试,96核测试半个小时也没问题,但是一运行openfoam的96核并行就出问题。测试算例包括李东岳的2000W网格测试算例和自带的 DTUHullMoving 算例,我不知道这到底是硬件问题还是其他的什么问题,急着开始算东西,有了解的大佬可以告诉我什么原因吗。
-
如何建立消波区域在方程里加一个阻尼系数,设置阻尼区域和阻尼大小就可以了
-
Paraview如何自定义时间间隔各位前辈好,请问我现在有一组生成的vtk数据是我从已有的数据里面处理出来的,但是和现有计算数据放在一起的时候,发现动画里面vtk数据是按照数量来变化的,比如三个文件,那在播放的时候就是对应第一秒,第二秒,第三秒,和计算数据不同步,请问这个怎么解决。
-
olaFlow 造波为什么差别这么大把你olaFlow Make 文件夹里面的文件贴一下,我看看
-
olaFlow 造波为什么差别这么大@张敬良 你的openfoam是编译安装的还是预编译直接sudo apt-install 安装的
-
openfoam 中能不能在使用动网格时给一个随物体运动变化的力@李东岳 李老师,有什么建议吗
-
openfoam 中能不能在使用动网格时给一个随物体运动变化的力@李东岳 还要耦合流体的作用力
-
openfoam 中能不能在使用动网格时给一个随物体运动变化的力@YuPeng s是的,李老师
-
openfoam 中能不能在使用动网格时给一个随物体运动变化的力@李东岳 李老师,通过网格画出来了
-
openfoam 中能不能在使用动网格时给一个随物体运动变化的力@李东岳 李老师,施加在运动的物体上
-
openfoam 中能不能在使用动网格时给一个随物体运动变化的力各位前辈好
请问在openfoam中能不能实现定义一个力,然后这个力的大小是随着物体运动比如说物体的转动角度变化的,这个要怎么实现。可不可以给一点思路
-
wave2foam 提取波面高度失败各位前辈好,在使用wave2foam提取波面的时候,有几个点的位置提取不出来波高,请问可能是什么原因导致的,计算的是在一个狭缝内部的波高峰值

-
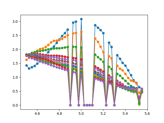
波浪反射透射系数计算各位前辈好,我在计算波浪反射透射的时候,尝试写了一个用两个浪高仪计算的程序,但是计算出来的结果反射波都大于入射波,请问哪位前辈写过类似的程序,能跟我分享一下经验吗
-
olaFlow 造波为什么差别这么大我尝试了olaFlow 来进行造波,水池深0.5米,波高0.024,周期1.26s,水池长12米,以下是各个位置的波高数据:










-
OpenFOAM 8中的波浪边界是否支持纯波浪?@tidedrinker 前辈你好,我在使用olaFlow做一个二维的狭缝共振,但是把两个浮箱加上之后造出的波浪不向前传递是什么原因呀,详细的我放在了这个问题里面问题地址