@李东岳 好的,谢谢李老师!
youminghao
帖子
-
欧拉-欧拉气固两相流中固相摩擦粘度 -
欧拉-欧拉气固两相流中固相摩擦粘度请教一下,在fluent中对于第二相高相分数(体积分数大于0.5)的模拟中,为什么针对摩擦粘度有一个最大值10e5的约束?如果没有限制会发生什么情况?
希望各位大佬不吝赐教! -
fluent udf求助?@bestucan 好的,谢谢老师!
-
fluent udf求助?各位大佬好,我如果要在双流体中定义一个如下的颗粒粘度公式,公式里的g0,颗粒温度这些变量我该去哪里寻找以及用哪个函数调用他们?

-
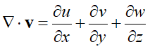
fluent udf困惑?各位老师,同学好!
大家对于这个速度矢量的散度在udf中如何表达能否提供一些帮助?
UDF帮助文档里边的C_DUDX(c, t)跟这个是否一样?
在这里谢谢大家?

-
双流体方法颗粒堆积模拟@xpqiu 好的,谢谢老师,我学习一下
-
双流体方法颗粒堆积模拟@xpqiu 老师,您好,我是采用了JohnsonJacksonSchaeffer模型来计算摩擦应力,但是最终没有发现堆积角,您认为可能是哪方面的问题?是应力模型本身的问题还是模型参数的影响?
-
双流体方法颗粒堆积模拟@李东岳 李老师,您好,DEM中实现颗粒堆积角的应该是自身的内摩擦角吧,您说的摩擦应力大导致粒子不变是什么意思?密集堆积的话颗粒动理论的作用基本可以忽略,主要还是摩擦应力模型计算占主导,那是不是关于颗粒粘度的计算会影响颗粒堆积?
-
双流体方法颗粒堆积模拟各位大佬好,本人用双流体方法尝试了一个颗粒堆积情况,如下图所示,选定一个区域初始填充为颗粒床,然后在重力作用下下落,最后颗粒堆积没有形成实际颗粒堆积的堆积角,请问一下是我设置有问题还是双流体方法不能够实现?

-
气固双流体计算发散请教?@wangfei9088 好的,谢谢,我检查一下!
-
气固双流体计算发散请教?大家好,有没有人知道这种错误的大致原因?我用双流体模型计算一个气固两相流,遇见如图错误,改了曳力模型还是同样的错误!

-
求解器的选择问题各位大佬,请教一下,我如果要用双流体模型计算气固两相流,那是早期版本(of6等)里的twophaseEulerFoam还是最新版of9里的multiphaseEulerFoam合适?
-
边界条件疑问各位大佬,请教一下双流体中的Johnson and Jackson边界,第一个图是openfoam中模型所提供的参考文献,第二个是另一篇文献的公式。我想知道图二中涉及到壁面摩擦系数和法向摩擦应力的第二项在openfoam的模型中是不是没有考虑?


-
颗粒动理论这两项有什么区别@李东岳 好的,谢谢李老师!
-
颗粒动理论这两项有什么区别@bestucan 好的,谢谢老师,那这一项起的作用您能帮忙解答一下吗
-
双流体边界设置请教各位打扰了,我想问一下,openfoam中关于密相气固两相流中固相边界的摩擦是通过什么方式实现的?有没有自带的边界条件可以体现壁面摩擦。
-
颗粒动理论这两项有什么区别请问一下,有人了解颗粒动理论里边每一个模型(摩擦应力、颗粒压力、径向分布函数).C文件分别有一个类似g0 和g0prime的项,他们的区别是什么?
-
后处理问题各位大佬好,我用双流体的方法计算了一个填充床,请问一下我如何在后处理中输出关于固相的摩擦压力、摩擦粘度等变量。如下图所示计算的摩擦压力:

2、还有一个问题就是里边计算的frictionalPressure和frictionalPressurePrime代表的意思有什么区别? -
欧拉多相流@zhouxu 好的,谢谢,我尝试一下,因为刚使用对每个方程的计算不太了解
-
欧拉多相流@zhouxu 您好,因为刚使用openfoam时间短,您说的注释掉能量方程是在求解器multiphaseEulerFoam.C里修改是吧