
在网上查了资料Openfoam残差定义是这个(代码我没找到),和楼主发的一摸一样,这种残差定义的相关文献有吗。
为什么有些openfoam论文里面残差定义是两次迭代值之差初以迭代值呢

youhaoyu
帖子
- 
    
 关于OpenFOAM的残差定义问题请教
- 
    
 拉格朗日injection model的自编译@星星星星晴 谢谢大佬回复,我后面也看看这个头文件如何使用 
- 
    
 拉格朗日injection model的自编译@星星星星晴 大佬,我用的是openFoam v6版本。我没有用官方的makeParcelInjectionModels.H这个头文件做注册宏。我用的是"addToRunTimeSelectionTable.H"这个头文件做注册 
- 
    
 拉格朗日injection model的自编译大家好,我的injection model已经显示编译好了,但是在injection model type的种类里面没有我自编译的选项,这是为啥啊 [dcy@node1 SinglePatchInjection]$ wmake libso 
 wmake libso .
 wmakeLnInclude: linking include files to ./lnInclude
 Making dependency list for source file SinglePatchInjectionRegister.C
 Making dependency list for source file SinglePatchInjection.C
 g++ -std=c++11 -m64 -Dlinux64 -DWM_ARCH_OPTION=64 -DWM_DP -DWM_LABEL_SIZE=64 -Wall -Wextra -Wold-style-cast -Wnon-virtual-dtor -Wno-unused-parameter -Wno-invalid-offsetof -Wno-attributes -O3 -DNoRepository -ftemplate-depth-100 -I/home/dcy/OpenFOAM/OpenFOAM-6/src/OpenFOAM/lnInclude -I/home/dcy/OpenFOAM/OpenFOAM-6/src/OSspecific/POSIX/lnInclude -I/home/dcy/OpenFOAM/OpenFOAM-6/src/finiteVolume/lnInclude -I/home/dcy/OpenFOAM/OpenFOAM-6/src/meshTools/lnInclude -I/home/dcy/OpenFOAM/OpenFOAM-6/src/lagrangian/basic/lnInclude -I/home/dcy/OpenFOAM/OpenFOAM-6/src/lagrangian/intermediate/lnInclude -I/home/dcy/OpenFOAM/OpenFOAM-6/src/lagrangian/distributionModels/lnInclude -I/home/dcy/OpenFOAM/OpenFOAM-6/src/regionModels/surfaceFilmModels/lnInclude -I/home/dcy/OpenFOAM/OpenFOAM-6/src/regionModels/regionModel/lnInclude -IlnInclude -I. -I/home/dcy/OpenFOAM/OpenFOAM-6/src/OpenFOAM/lnInclude -I/home/dcy/OpenFOAM/OpenFOAM-6/src/OSspecific/POSIX/lnInclude -fPIC -c SinglePatchInjection.C -o Make/linux64GccDPInt64Opt/SinglePatchInjection.o
 g++ -std=c++11 -m64 -Dlinux64 -DWM_ARCH_OPTION=64 -DWM_DP -DWM_LABEL_SIZE=64 -Wall -Wextra -Wold-style-cast -Wnon-virtual-dtor -Wno-unused-parameter -Wno-invalid-offsetof -Wno-attributes -O3 -DNoRepository -ftemplate-depth-100 -I/home/dcy/OpenFOAM/OpenFOAM-6/src/OpenFOAM/lnInclude -I/home/dcy/OpenFOAM/OpenFOAM-6/src/OSspecific/POSIX/lnInclude -I/home/dcy/OpenFOAM/OpenFOAM-6/src/finiteVolume/lnInclude -I/home/dcy/OpenFOAM/OpenFOAM-6/src/meshTools/lnInclude -I/home/dcy/OpenFOAM/OpenFOAM-6/src/lagrangian/basic/lnInclude -I/home/dcy/OpenFOAM/OpenFOAM-6/src/lagrangian/intermediate/lnInclude -I/home/dcy/OpenFOAM/OpenFOAM-6/src/lagrangian/distributionModels/lnInclude -I/home/dcy/OpenFOAM/OpenFOAM-6/src/regionModels/surfaceFilmModels/lnInclude -I/home/dcy/OpenFOAM/OpenFOAM-6/src/regionModels/regionModel/lnInclude -IlnInclude -I. -I/home/dcy/OpenFOAM/OpenFOAM-6/src/OpenFOAM/lnInclude -I/home/dcy/OpenFOAM/OpenFOAM-6/src/OSspecific/POSIX/lnInclude -fPIC -c SinglePatchInjectionRegister.C -o Make/linux64GccDPInt64Opt/SinglePatchInjectionRegister.o
 g++ -std=c++11 -m64 -Dlinux64 -DWM_ARCH_OPTION=64 -DWM_DP -DWM_LABEL_SIZE=64 -Wall -Wextra -Wold-style-cast -Wnon-virtual-dtor -Wno-unused-parameter -Wno-invalid-offsetof -Wno-attributes -O3 -DNoRepository -ftemplate-depth-100 -I/home/dcy/OpenFOAM/OpenFOAM-6/src/OpenFOAM/lnInclude -I/home/dcy/OpenFOAM/OpenFOAM-6/src/OSspecific/POSIX/lnInclude -I/home/dcy/OpenFOAM/OpenFOAM-6/src/finiteVolume/lnInclude -I/home/dcy/OpenFOAM/OpenFOAM-6/src/meshTools/lnInclude -I/home/dcy/OpenFOAM/OpenFOAM-6/src/lagrangian/basic/lnInclude -I/home/dcy/OpenFOAM/OpenFOAM-6/src/lagrangian/intermediate/lnInclude -I/home/dcy/OpenFOAM/OpenFOAM-6/src/lagrangian/distributionModels/lnInclude -I/home/dcy/OpenFOAM/OpenFOAM-6/src/regionModels/surfaceFilmModels/lnInclude -I/home/dcy/OpenFOAM/OpenFOAM-6/src/regionModels/regionModel/lnInclude -IlnInclude -I. -I/home/dcy/OpenFOAM/OpenFOAM-6/src/OpenFOAM/lnInclude -I/home/dcy/OpenFOAM/OpenFOAM-6/src/OSspecific/POSIX/lnInclude -fPIC -shared -Xlinker --add-needed -Xlinker --no-as-needed Make/linux64GccDPInt64Opt/SinglePatchInjection.o Make/linux64GccDPInt64Opt/SinglePatchInjectionRegister.o -L/home/dcy/OpenFOAM/OpenFOAM-6/platforms/linux64GccDPInt64Opt/lib
 -o /home/dcy/OpenFOAM/dcy-6/platforms/linux64GccDPInt64Opt/lib/libSinglePatchInjection.so--> FOAM FATAL ERROR: 
 Unknown injection model type singlePatchInjection
 Valid injection model types are:10 
 (
 cellZoneInjection
 coneInjection
 coneNozzleInjection
 fieldActivatedInjection
 inflationInjection
 kinematicLookupTableInjection
 manualInjection
 none
 patchFlowRateInjection
 patchInjection
 )
- 
    
 拉格朗日的雷诺时均模型有没有大佬改过老版本的openfoam的拉格朗日的湍流模型的,本人用DPMFoam,但是好像只有一个ke模型,想做做和旋流有关的一个研究,能不能改动一下。  
- 
    
 求sprayfoam使用方法大佬,能加个联系方式咨询一下吗  
- 
    
 求sprayfoam使用方法本人想学一下sprayfoam 的一些使用方法,主要是想运用spray的碰撞模型,普通软求模型不怎么适应的我工序,我想知道sprayfoam这个求解器流场的初始密度在哪儿设定的(DPMFoam在constant的transport里面有定义)。还有一些关于sprayfoam如何关掉化学反应等等问题,有无大佬能加个联系方式咨询一下。 
- 
    
 OpenFOAM拉格朗日求解器中碰撞模型如何打开谢谢您的解答,在openFoam v6版本里icoUncoupledKinematicParcelFoam这个求解器里,有pairCollision(软球模型),我现在尝试用软球模型先试试。 
 sprayFoam里面是有O’Rourke碰撞的,但我做的东西和化学反应没啥关联,在后面做的过程中如果pairCollision没啥进展,可以借鉴您的建议把O’Rourke移植过去。
- 
    
 颗粒碰撞聚合有关问题请教@JamesCheng 大神,我现在也在想做颗粒的碰撞与聚并,您现在有眉目了吗 
- 
    
 OpenFOAM拉格朗日求解器中碰撞模型如何打开@李东岳 是的东岳老师,这个gpt东西说的太杂。 
- 
    
 OpenFOAM拉格朗日求解器中碰撞模型如何打开@78star 大神,大概有哪些可以写的格式呢,我想引用O’Rourke碰撞,但是这个只能用于sprayFoam。现在很迷茫 
- 
    
 OpenFOAM拉格朗日求解器中碰撞模型如何打开     
- 
    
 OpenFOAM拉格朗日求解器中碰撞模型如何打开 
  
 不知道这个解释靠不靠谱
 求大佬解释
- 
    
 OpenFOAM拉格朗日求解器中碰撞模型如何打开大家好,我最近在做颗粒碰撞与聚并的课题。在使用icoUncoupledKinematicParcelFoam这个案例中,如何在 kinematicCloudProperties这个文件里,如何打开并使用stochasticCollisionModel和collisionModel  
- 
    
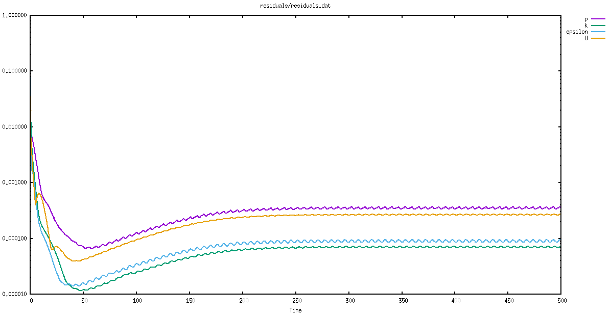
 buoyantBoussinesqSimpleFoam求解器     
 在使用buoyantBoussinesqSimpleFoam求解器时,前40秒的时候图像与文献图像相符合,但是在后面残差稳定后,图像出现了畸形
- 
    
 请问paraview后处理问题 
 我发现好像可以用这个进行标识,但是如何画这种外轮廓轨迹范围呢
- 
    
 请问paraview后处理问题请问假如我想根据论文,如下图 
  
 在paraview里面也画一下相关的喷吹图,我想的是类似于我以下这种画图方式
  
 我想在paraview里面画一下这种轨迹辅助线,并且测量一下相应一些参数的长度距离,这种后处理如何实现啊
- 
    
 icem网格导入请问icem自动画的非结构体网格如何导入openfoam中 
- 
    
 tomiyamalift如何编写请问拉格朗日的TomiyamaLift如何进行编写 TomiyamaLift { sigma 0.072; }我这个写法openfoam报错了 
