@wwzhao 谢谢:happy:
W
wingman_li
@wingman_li
帖子
-
MULES算法中的const RhoType &rho -
MULES算法中的const RhoType &rho@李东岳
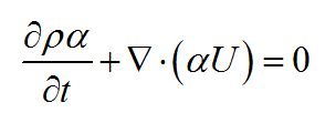
你好!我是想要用MULES求解这个式子

可以直接用MULES::explicitSolve ( rho, alpha, phi, alphaPhi, zeroField(), zeroField(), 1, 0 );还是要在MULES.C中加一个函数
void Foam::MULES::explicitSolve ( const RhoType &rho, volScalarField& psi, const surfaceScalarField& phi, surfaceScalarField& phiPsi, const scalar psiMax, const scalar psiMin ) { explicitSolve ( rho, psi, phi, phiPsi, zeroField(), zeroField(), psiMax, psiMin ); }因为我看MULES.C中只有一个这个函数
void Foam::MULES::explicitSolve ( volScalarField& psi, const surfaceScalarField& phi, surfaceScalarField& phiPsi, const scalar psiMax, const scalar psiMix) { explicitSolve ( geometricOneField(), psi, phi, phiPsi, zeroField(), zeroField(), psiMax, psiMin ); } -
MULES算法中的const RhoType &rhoMULES算法中的const RhoType &rho 参数是如何使用的?接受volScalarField类型吗?