@李东岳 谢谢李老师,问题已经解决了,对于DNS的槽道流需要用统计数据,流场计算时间不够就很难对得上,还需要等到湍流完全发展后再开始计算平均场。
U
ujs_lzh
@ujs_lzh
帖子
-
关于icoFOAM的qDNS案例的问题求助 -
CFD后处理@李东岳 谢谢李老师的回答。
-
有人对Machine Learning+CFD感兴趣么@星星星星晴流体中心的
-
有人对Machine Learning+CFD感兴趣么我的研究方向就是这个。。。
-
CFD后处理请问有人知道这个图片是怎么做出来的吗

看起来像是用代码画的,因为他这篇论文使用了三维卷积

论文标题:
Machine-learning-based reconstruction of turbulent vortices from sparse pressure sensors in a pump sump
doi:10.1115/1.4055178 -
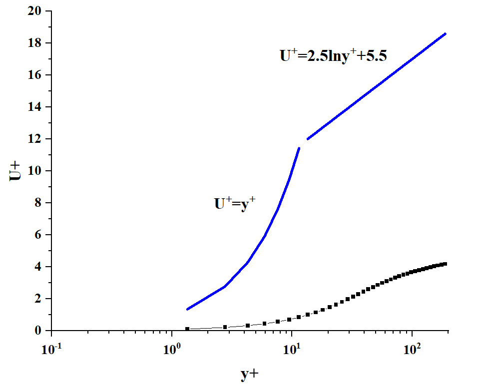
关于icoFOAM的qDNS案例的问题求助请问下东岳老师还有各位大佬,icoFOAM的qDNS案例是可以直接运行的吗,想要作\(u^+\)-\(y^+\)图,参考Calf.Z-DNS的回答
以及
https://www.cfd-online.com/Wiki/Y_plus_wall_distance_estimation的公式,
算了1000s后结果如图

发现几个问题:
1.case给的是\(Re_\tau\)=180,所给文献的数据也是\(Re_\tau\)=180,但是transportProperties文件给的是运动粘度nu的值为2e-5,注释却是\(Re_\tau\)=395,按照2e-5计算后\(Re_\tau=\frac{0.1335*0.001332}{0.00002}\)=8.8911,不知道雷诺数以哪一个为准;

2.做出的\(u^+\)-\(y^+\)图取了\(y^+\)小于180的部分,大概距离边界层0.2,\(u^+=\frac{u_{mean}}{u_*}\),其中\(u_{mean}\)的值为第1000s的平均值,提取中线上x方向的速度,位置如图

计算后得到\(u^+\)的值偏小,结果如图

希望大家给予解答,谢谢。