好的,谢谢李老师,我试一下
N
Naiver
@Naiver
帖子
-
MPPICInterFOAM中粒子的interface力 -
MPPICInterFOAM中粒子的interface力@李东岳 对了,李老师,打扰一下这个interface力是必需的吗,我看您的denseParticleFoam里面强调的是拖曳力和浮力。是因为MPPICInterFoam是多相流计算的原因,所以需要考虑粒子在多个相界面之间的运动么?如果我不考虑这一项是不是也没关系

-
MPPICInterFOAM中粒子的interface力是的,如果粒子在两相的交界面上,在C小于0的情况下就会出现垂向向下偏移的情况,如果距离交界面有一定的距离就不会有影响。所以,这个interface的系数C影响的是垂向位移,那我猜测可能影响粒子水平漂移的是Drag力,目前还在调试
-
MPPICInterFOAM中粒子的interface力
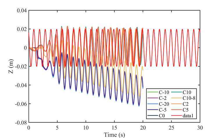
谢谢李老师,我去看了一下代码,是这样描述的“应用于粒子的矢量力,避免粒子从一个相位到另一个相位”,所以给的案例默认C是-10,阻止粒子在气液两相穿过?如果看上面的曲线好像是这样理解的
但是如果设置C>0,导致水平向的位移远大于Stokes质量输移的理论解,这个大家有什么建议么?我理解的是这个粒子直径比网格小,所以它的运动轨迹应该大致类似于水质点的运动轨迹或者是小于水质点的运动轨迹吧?
Stokes质量输移的公式是参照下面这个图的公式

-
MPPICInterFOAM中粒子的interface力大家好,最近在研究粒子在波浪作用下的输移,利用MPPICInterFOAM进行研究,但是对于Particles Force里面interface力有点不理解,其中参数C代表什么含义?我改变了不同的C值,发现当C值大于0时,在水面的粒子的垂直输移与Stokes质量输移的z方向运动较为相似,但是水平输移要大于Stokes质量输移;当C值小于0时,在水面的粒子的垂直输移先向下然后再沿波浪运动,水平输移要小于Stokes质量输移。下图是我粒子的相关设置,密度为1000,粒子大小为0.0001m。

-
关于MPPICinterFoam
