@东岳 试了一下,等待结果中~
LiuZhuang
帖子
-
想在边界添加一个指向圆心的速度 -
想在边界添加一个指向圆心的速度也烦请各路大神看到这个帖子,成功加载过此类边界条件的给点指导建议,小弟在此谢过了~~
-
想在边界添加一个指向圆心的速度原谅我又一次没发代码,因为不知道这种代码怎么写,在OF里是否有这种边界条件,该如何设置?
有一个圆柱面,我想在圆柱表面添加一个指向圆心的固定速度,大小为72m/s,请问这种条件在OF里有没有这种边界条件,我该怎么去设置呢?圆心的坐标为(-615,2892.5 0)圆柱的轴方向为(0 1 0)
PS:我的坐标系是直角坐标系
@东岳 -
求助:液池热毛细对流算例,已编译好求解器和算例,但就是和文献自编程序不一样@麦迪文 等着看云图
-
关于在浓度方程对流项中添加U+sudu(sudu添加无效果)的问题@东岳 @麦迪文
感谢东岳先生和大佬,问题已经解决了,phi1=phi+phi也实现了,浓度场也变化了;
现在想问一下关于声明里有一段代码理解的依然不是很好
这个是我仿照U的声明做的一个Uslip,目的是为了读取0文件夹下的Uslip。

这个是我新生命的phi1场,其目的是为了让我的Uslip从体心插值到面上,这个思路是否正确呢?

这句代码的含义是将速度从体心插值到面上并且初始化(没理解错的话)
ps:我的网格文件实在是有点大,而且处理成5000以下计算效果很不好,就不麻烦东岳先生帮我验证了。感谢东岳先生百忙之中帮我研究我的问题,这些问题很基础,但对于小白来说也很棘手,感激东岳先生,拜谢!
-
自己写的一个空化求解器的气泡数,气泡质量,气泡半径和气泡半径速度的守恒方程的一些疑问@100yearsalone
新写的phit1里的U,这个U是从0文件夹下的U调用的么? -
关于在浓度方程对流项中添加U+sudu(sudu添加无效果)的问题@东岳 确实在方程中添加了phi1=phi+phi,也影响了浓度场的分布,现在我遇到的问题是phi 和 phi1文件里的值还是一摸一样的,正常phi1的值也应该和phi 有所区别,我如何才能让phi和phi1的值有区别呢?问题是否出在声明文件中呢?
这是我写的phi1声明。
这是我写的浓度方程文件,在括号里加入了phi1 = phi +phi; -
关于在浓度方程对流项中添加U+sudu(sudu添加无效果)的问题@东岳 或者说我想在浓度方程的对流项中将phi改为phi1,phi1的表达式为phi+phi(第二个phi想改动成自己写的速度场文件(即Unew)&mesh.Sf)
-
关于在浓度方程对流项中添加U+sudu(sudu添加无效果)的问题@东岳 这个新的phi1我是想放在浓度方程
中去的,而且第二个phi想达到一个Unew乘以网格插值出来一个新的面通量,如果压力方程里做phi = 2*phi1的计算的话,会不会影响连续性方程和动量方程呢?我并不想去影响这两个方程 -
关于在浓度方程对流项中添加U+sudu(sudu添加无效果)的问题@东岳 果然是我的phi1写的方式不准确,我在createFields.H中声明了一个phi1,如下图

我的想法是创立一个新的phi1让phi1=2倍的phi,不知道这种写法错误在哪,做出来的phi和phi1两个文件值相同。
如何创立一个新的phi1呢?除了在createFields里填写还需要在哪注意呢? 我那个phi+phi的写法应该错误很大吧,应该怎么去实现phi1=phi+phi的感觉呢? -
使用QBMM模拟气泡流@金石为开 请问您的driftFluxFoam关于气液两相流的问题有没有算例的设置呢?能不能给我分享一下?
-
关于在浓度方程对流项中添加U+sudu(sudu添加无效果)的问题@东岳 层流施密特数1,湍流施密特数800,而且入口速度非常小(0.1m/s)这样的湍流扩散项系数应该不会大吧,我也在怀疑对流项占优和扩散项占优的问题,如果这种取值很小的话应该就是我写的文件没有让openfoam明白我想给Unew添加进去的想法吧,苦笑~
-
关于在浓度方程对流项中添加U+sudu(sudu添加无效果)的问题@东岳 我做的测吹方式要比刘仲秋老师(东岳先生您发给我的文章)的模型简单,我是用浓度方程去代替含气率方程(他们在方程形式上有很高的类似度)而且以前有前人用混合单项流模型去模拟的E-E模型,现在我已经做好了滑移速度在模型中的分布文件Unew,和导师探讨后认为Unew文件应写入到我之前写的浓度方程的对流项中去。然后我发现pEqn.H中关于phi 进行了一系列眼花缭乱的操作,我进行了简单的复制后发现wmake报错(我的想法是按照pEqn.H简单的复写一个phi1,给phi1变成U+Unew的形式),这种操作对于我来说十分吃力,我弄不清楚如果添加这个新的phi1应该对除了createFields和浓度方程之外还有哪些文件进行改动(比如说或者pEqn.H)说实话CFD理论理解十分浅显,根本看不懂Weller的操作,希望东岳大神帮我指点一下迷津
ps:我将混合单项流模型的论文里含气率守恒公式和我做的简单的pEqn.H粘贴在下方。

这个是湍流nu
pEqn.tar 这个是我做简单改动后的pEqn.H
标蓝处我做的简单添加,在文件的第48行
我用的OF版本是2.4.0的,基于buoyantBousssinesqSimpleFoam求解器进行的改动 -
关于在浓度方程对流项中添加U+sudu(sudu添加无效果)的问题@东岳 对了东岳老师,我听说最近你也在做测吹的研究,请问您采用的例子有什么可供参考的么?我也在做这方面研究,现在就是速度太大导致计算很慢。希望能与您多加交流
-
关于在浓度方程对流项中添加U+sudu(sudu添加无效果)的问题我进行了测试,发现原来的phi和新的phi1做出来的浓度分布毫无变化。。。。。。。
-
关于在浓度方程对流项中添加U+sudu(sudu添加无效果)的问题@东岳 这个是我在createFields.H里做的phi1

这个是我做的新的速度矢量
这个是我新写的浓度方程

-
升力、曳力、虚拟质量力等@东岳 我也在做测吹方面的研究,但是E-E有点算不起(因为我的吹入速度很大)东岳先生的结晶器图片我看过,很漂亮。
-
关于在浓度方程对流项中添加U+sudu(sudu添加无效果)的问题@东岳 Unew目前是一个矢量vector(1000 0 0)和U比起来大了很多,我用了我自己画的网格进行测试(浓度入口很小)算例使用的是buoyantBOussinesqSimpleFoam的例子,仿照的边界条件进行了改动。
-
关于在浓度方程对流项中添加U+sudu(sudu添加无效果)的问题或者说我的pEqn.H文件写的不全,导致了phi1虽然满足编译,但是并没有离散且参与到浓度方程的计算中去?现在不了解问题的错误在哪里?非常的头疼!!!
-
关于在浓度方程对流项中添加U+sudu(sudu添加无效果)的问题东岳老师及各位大神们早上好!
本人的课题遇到了一个新的瓶颈,在此发表希望大伙给与指导与点拨。
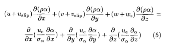
我想在浓度方程对流项里引入一个速度,并且通过简单的学习将原速度U和新速度Unew引入到phi中,将phi定义为phi1(编译成功),但是我将phi1放入浓度方程的对流项(动量方程与压力泊松方程的对流项仍保持为phi)中时,发现浓度的扩散并没有Unew的效果。
在这里我想问的是,我这样做是不是也需要考虑将动量方程和压力泊松方程的phi也改成phi1?并且对浓度方程里新的phi1应该怎样进行调整(是否需要在动量方程和压力泊松方程里也同样调整phi1)?才能使我加入的phi1能够对浓度的扩散有一个流动的效果?
下面我将改动的求解器代码发到这里,希望大神们能帮我搞清楚这个问题ps:一直对压力方程理解的不是很好。希望大神们给与指导,这些文件我是基于buoyantBoussinesqSimpleFoam的基础上加入浓度方程进行修改的。