之前每个场的Dc值一样,这里我想设置每一个field的Dc值不一样,求问一下这里代码怎么修改一下:
{
surfaceScalarField phichems( phi*1.0 );
forAll(fluidPhase.field, i)
{
fvScalarMatrix chemTransportEqn
(
fvm::ddt(fluidPhase.field[i])
+ fvm::div(phichems,fluidPhase.field[i],"div(phi,chems)")
- fvm::laplacian(Dc,fluidPhase.field[i]) //想修改这一行的Dc
);
chemTransportEqn.relax();
chemTransportEqn.solve();
fluidPhase.field[i].correctBoundaryConditions();
}
}
!
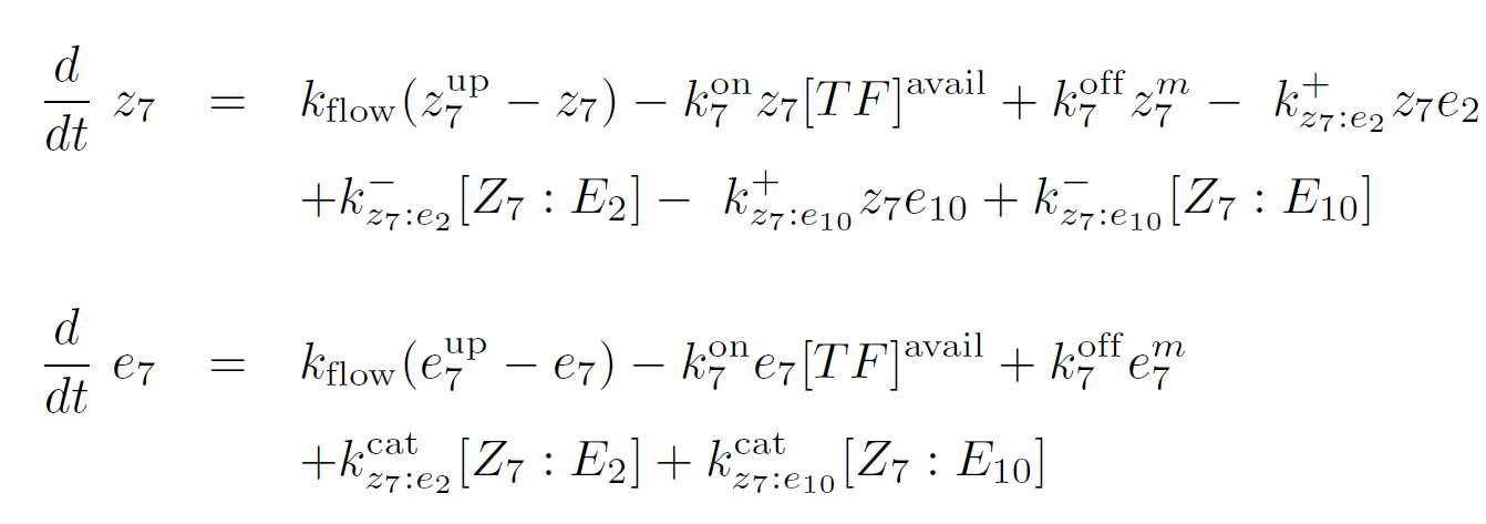
S^k形式如下,
k^on, k^off, k^cat, 是系数,z7, z2, [z2:z10]等为反应变量。