@bestucan 感谢您的回复。看过UDF的帮助文档了,只找到一些修改边界条件和添加源项的UDF。但对于如何利用UDF编写PLIC算法,并加载到Fluent中去还是没有思路。您这边可以提供一些资料或思路吗?谢谢!
B
being curious
@being curious
帖子
-
如何自己编写VOF模型的PLIC算法,并加载到Fluent中? -
如何自己编写VOF模型的PLIC算法,并加载到Fluent中?看到一篇论文中提到了用自己编写VOF模型的PLIC算法,想用复现这篇论文提到的模型,但不知从何入手?可以用UDF实现吗?
论文DOI:10.1016/j.ijheatmasstransfer.2010.05.013

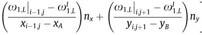
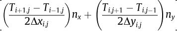
该论文自编PLIC算法的目的是获取一些fluent软件本身不提供的数据,用以计算组分的质量浓度梯度和温度梯度,如下所示。

浓度梯度

温度梯度

-
我用fluent模拟含不凝气体水蒸气凝结的例子,自编udf,运行时存在问题,希望大神们帮忙看一下想问下楼主最后成功实现仿真了,我目前已经完成了UDF的编写,并且在fluent中也能正常计算,但是液膜厚度一直保持在第一层网格内,不知道是什么原因。希望可以交流一下。
-
fluent udf中体积分数宏 C_VOF 的取值问题@pajack 吧Domain *d的定义移到上面试下,定义变量好像不能在赋值语句的下方,反正我16版本是有这个问题。
-
我用fluent模拟含不凝气体水蒸气凝结的例子,自编udf,运行时存在问题,希望大神们帮忙看一下@中国石油大学研究生 不是把,define source 宏会自动循环所有网格的啊?