@疏影横斜水清浅 在 topoSet, createPatch, createBaffle 在网格内部添加一个平面 求指教 中说:
@脉动通风 你好,能详细说一下么,你是用的哪种颗粒注入方式,内部画网格是指生成面还是cellzone,你使用的方式是连续注入么
内部画网格就是我自己在房间中间挖了一块正方体的区域,然后再使用ICEM画的网格。最后传入Openfoam中,再对那个正方体的一个面设置气体输入的浓度。
使用的方式是连续注入,我是注入气体。
@疏影横斜水清浅 在 topoSet, createPatch, createBaffle 在网格内部添加一个平面 求指教 中说:
@脉动通风 你好,能详细说一下么,你是用的哪种颗粒注入方式,内部画网格是指生成面还是cellzone,你使用的方式是连续注入么
内部画网格就是我自己在房间中间挖了一块正方体的区域,然后再使用ICEM画的网格。最后传入Openfoam中,再对那个正方体的一个面设置气体输入的浓度。
使用的方式是连续注入,我是注入气体。
@疏影横斜水清浅 在 topoSet, createPatch, createBaffle 在网格内部添加一个平面 求指教 中说:
@脉动通风 没有解决,如果createPatch,这就会变成边界面,不符合。我后来采用了入口面释放。
感谢回复!我后来是直接在内部画的网格,设置的速度入口。
@wangfei9088 非常感谢大佬的指点!! 完美解决了这个问题
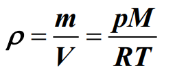
实际情况下,气体的密度应该是\rho=PM/RT,需要考虑物质的摩尔质量,但是为什么openfoam中在计算密度时,摩尔质量被忽略了。
想请问一下,openfoam是已经将物质的量放到气体常数里面去了吗?

@疏影横斜水清浅 您好,请问您有解决这个问题吗?我需要在计算域内部设置一个面(inlet)连续释放二氧化碳,找了很多资料也没成功
。