最近用openfoam 计算S809翼型的流场,但是得到的表面压力系数与与实验数据差距较大,请求各位大神的帮助。
计算采用simpleFoam,湍流模型kOmegaSST。
下面是翼型周围网格和一些设置,首层网格高度0.000005

边界条件:
U

p

离散格式:

求解器


计算结果
速度流场:

压力场

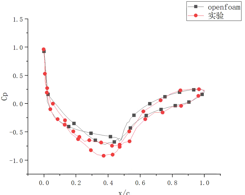
速度场和压力场云图看起来问题不大,但是表面系数与实验差别较大:

最近用openfoam 计算S809翼型的流场,但是得到的表面压力系数与与实验数据差距较大,请求各位大神的帮助。
计算采用simpleFoam,湍流模型kOmegaSST。
下面是翼型周围网格和一些设置,首层网格高度0.000005

边界条件:
U

p

离散格式:

求解器


计算结果
速度流场:

压力场

速度场和压力场云图看起来问题不大,但是表面系数与实验差别较大:

终于注册了