Skip to content
  • 最新
  • 版块
  • 东岳流体
  • 随机看[请狂点我]
皮肤
  • Light
  • Cerulean
  • Cosmo
  • Flatly
  • Journal
  • Litera
  • Lumen
  • Lux
  • Materia
  • Minty
  • Morph
  • Pulse
  • Sandstone
  • Simplex
  • Sketchy
  • Spacelab
  • United
  • Yeti
  • Zephyr
  • Dark
  • Cyborg
  • Darkly
  • Quartz
  • Slate
  • Solar
  • Superhero
  • Vapor

  • 默认(不使用皮肤)
  • 不使用皮肤
折叠
CFD中文网

CFD中文网

肖艺肖

肖艺

@肖艺
关于
帖子
28
主题
9
群组
0
粉丝
0
关注
3

帖子

最新

  • 刘盈溢老师做的关于风机的水动力软件HAMS开源
    肖艺肖 肖艺

    致敬!


  • OpenFOAM编译问题,关于scotch
    肖艺肖 肖艺

    96be1679-148e-4d57-808d-dae7a6fd3954-image.png


  • OpenFOAM编译问题,关于scotch
    肖艺肖 肖艺

    我用的是ubuntu20 下的openfoam8
    我已经安装了'scotch',但是提示是找不到'scotch.h', 这似乎是MPI lib相关的问题?
    我从网上下载了 third_party_source,但是遇到了编译问题。
    bf1acc28-550c-49e3-898b-5ea80ac87ed4-image.png
    593896e7-6c3f-496d-850f-64369055d324-image.png
    我尝试下载'scotch'',但是不知道为什么无法安装。OpenFOAM 论坛上提到 scotch v6.09不配适ubuntu,
    ae5ed4ca-eac1-4f92-b4ff-ccb81edb7d05-image.png
    有朋友能帮忙看一下嘛?感谢


  • 为什么二维方腔流用pisFoam算出的流线与下方没有涡
    肖艺肖 肖艺

    @东岳 微信图片_20201012200823.jpg 微信图片_20201012200818.png
    二维顶盖驱动方腔流无滑移时有涡,有滑移时不出现涡,这种情况可能是什么原因造成的?程序是fortran语言自编的


  • 2015-2019年度总结
    肖艺肖 肖艺

    榜样啊!东岳老师


  • 关于MRF的疑问
    肖艺肖 肖艺

    @东岳 @Izumi
    有没有关于MRF的相关文献推荐下啊


  • 请问跨音速和低马赫数流动中,SIMPLE算法的密度修正,界面速度插值格式以及对流项格式需要注意什么吗?
    肖艺肖 肖艺

    加油楼主,有资料分享一下:jingya:


  • 我,想要,鼓励!
    肖艺肖 肖艺

    鼓励鼓励!:high:


  • 关于非均一扩散系数的扩散项离散问题
    肖艺肖 肖艺

    单元体积乘单元变量值(在全计算域所有单元求和),这个积分值和初始场的积分值相等,既是这里指的守恒


  • 关于非均一扩散系数的扩散项离散问题
    肖艺肖 肖艺

    1ed57deb-404c-4705-98ba-70691f34a6fb-image.png
    fbbd9b40-b208-43a8-a080-ee0c298ab491-image.png
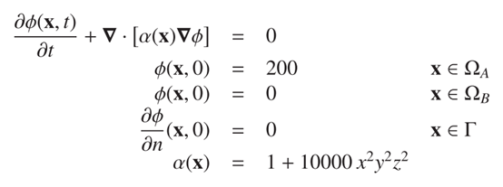
    采用二阶精度有限体积法,扩散系数是关于空间位置的函数,面心扩散系数直接给定扩散系数的解析值,扩散项用中心差分格式,时间项用一阶欧拉隐式,计算结果是变量在全域的总积分值会逐渐减少,令扩散系数为常数时计算结果是守恒的。
    这种扩散系数应该怎么离散啊。。。
    大佬们指点下:zoule:


  • 关于动量方程表面源项的离散问题
    肖艺肖 肖艺

    @Mrc-Young @东岳
    两个矢量点乘是标量,左右点乘都相等。
    问题是不知道有没有矢量左点乘张量,若有的话,其与张量右点乘矢量的结果是不是相等。

    有:
    Nabla算子左点乘二阶张量A=二阶张量A的转秩右点乘Nabla算子339eb303-e554-4e14-a092-1686a9b34253-image.png

    但如果把上面的Nabla算子换成矢量,上式还成立么??


  • 关于动量方程表面源项的离散问题
    肖艺肖 肖艺

    @东岳 如何删除这个帖子啊:jingya:


  • 关于动网格中网格节点移动后的几何计算问题
    肖艺肖 肖艺

    动网格算法中,全域网格移动后,对于当个单元,是如何保证其单元面的节点(大于等于四个点)在同一平面上的,若不是严格的在一个平面内,其微小的几何误差是否可忽略?


  • 关于动量方程表面源项的离散问题
    肖艺肖 肖艺

    @队长别开枪 明白了谢谢!


  • 关于动量方程表面源项的离散问题
    肖艺肖 肖艺

    @东岳 不确定啊,到几处文献上看到是n.A,。 A为一阶张量(即矢量)时,在左或右都一样。


  • 关于动量方程表面源项的离散问题
    肖艺肖 肖艺

    @东岳 上一个打错了。张量和矢量的左点乘和右点乘不一样吧,矢量左点乘张量=张量的转秩右点乘矢量


  • 关于动量方程表面源项的离散问题
    肖艺肖 肖艺

    《The Finite Volume Method in Computational Fluid Dynamics - An Advanced Introduction with OpenFOAM and Matlab》书15章不可压缩流中15.5.1节关于动量方程表面源项的离散是不是有问题?
    2707536f-d2fa-48db-8b7a-7ee97c96dbac-image.png
    张量的高斯公式应该是:8b111ab7-6544-48ea-868f-cd2aaaf57242-image.png
    故正确的计算结果应该是:1ecc25f0-9334-4918-8284-f1593a0c484d-image.png
    大佬们指点下。


  • 搞CFD,需要把张量分析学到什么程度?
    肖艺肖 肖艺

    @yfclark


  • 搞CFD,需要把张量分析学到什么程度?
    肖艺肖 肖艺

    @东岳 对,讲得特别深入,都给整懵了,平时就用到三维空间里的二阶张量而已


  • 搞CFD,需要把张量分析学到什么程度?
    肖艺肖 肖艺

    近日在听长春某985办的一个暑期张量分析讲习班,来听的几乎大部分都是搞力学的,讲的内容很深,要学到那个程度需要花很多精力,感觉超出了平时应用的范围。
    有点困惑,对于搞计算流体力学,张量分析需要学到什么程度?(本人博士生在读)

  • 登录

  • 登录或注册以进行搜索。
  • 第一个帖子
    最后一个帖子
0
  • 最新
  • 版块
  • 东岳流体
  • 随机看[请狂点我]