
考虑两相流跨越界面的时候,在计算ρgh的时候,是直接使用当前点的密度值乘以高度和重力加速度吗,还是先计算空气部分的静压再加上液体部分的静压。
南风
帖子
-
关于两相流模拟中的动压分离方法,静压的计算 -
Paraview 里面做一个slice后的二维网格如何显示为四边形网格而不是三角形@tens 好的,谢谢你,我试一下
-
Paraview 里面做一个slice后的二维网格如何显示为四边形网格而不是三角形我在paraview5.7里面对一个三维计算域网格做切面slice,二维面网格显示的结果总是三角形网格,我以为是和这个triangulate the slice 的选项有关,但是勾选前后还是没有变化,请问大家还有其他的方法吗,还是说和我的这个网格本身有关。

-
模拟气泡流(bubbly flow)的相关方法请教谢谢东岳老师,我先看下你网址里面的相关内容。
-
模拟气泡流(bubbly flow)的相关方法请教最近在做气泡流(bubbly flow,不涉及化学反应过程,仅为两相流问题)的模拟工作,看到很多的方法,例如,Eulerian-Eulerian,Mixture model, Population Balance Mode,想问下大家有没有什么综述文章推荐,想总体的了解下这些方法的基本概念,以及优缺点适用性。
-
openfoam自适应网格使用Q准则加密失败@xpqiu 感谢。我试下你的方法
-
openfoam自适应网格使用Q准则加密失败@Yong-Li 好的 ,谢谢解答
-
openfoam 自适应网格通量修正设置我这边后面主要涉及到水汽两相流,空化相关的问题,谢谢
-
openfoam 自适应网格通量修正设置大家好,最近接触of里面的自适应网格,对于dynamicMeshDict字典里面的通量修正(correctFluxes)设置不太了解,看了一些例子,发现设置还是不太一样,想了解下这里面的项都代表什么,如果要开启通量修正应该如何设置,谢谢。

-
二维自适应网格你好,自适应网格这块dynamicMeshDict字典关于通量修正的的设置,里面的这些项表示的意义不太明白,什么情况下需要修正那些东西呢,应该如何设置,非常感谢,或者有推荐的资料学习也可以
-
openfoam自适应网格使用Q准则加密失败@东岳 谢谢李老师。我这边加进去了
-
openfoam自适应网格使用Q准则加密失败李老师,你好,非常感谢,还想详细的咨询下,是要在求解器的 createFields.H这里面添加Q这个标量场吗, 每个时间步进行Q的计算是要通过什么方法,我前面说的那个在controlDict里面加入#includeFunc Q 的方法可以吗
-
openfoam自适应网格使用Q准则加密失败我在openfoam里面计算水翼空化的问题,使用自适应网格进行加密,想把原来的基于体积分数加密准则的修改为基于Q(速度梯度第二不变量)加密准则的方法,通过在controlDict文件的functions中添加#includeFunc Q 在时间步文件中输出Q的场,但是在使用自适应网格计算的时候报错如图

自适应网格配置文件如图

在使用体积分数准则的时候是可以进行计算的,请问由什么方法可以解决或者实现基于Q加密的方法, -
关于interPhaseChangeFoam里面的一些疑问@yhdthu 好的,谢谢老师
-
关于interPhaseChangeFoam里面的一些疑问@东岳 好的好的,非常感谢两位老师
-
关于interPhaseChangeFoam里面的一些疑问@东岳 谢谢东岳老师,非常感谢
-
关于interPhaseChangeFoam里面的一些疑问@东岳 哈哈,其实链接是从知乎过来的,单独在东岳流体上确实找不到这个,
-
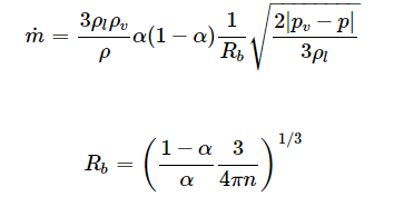
关于interPhaseChangeFoam里面的一些疑问最近看了东岳流体上关于interPhaseChangeFoam求解器的解析,里面有几个地方有疑问,想请教一下各位老师,
一:在sauer空化模型中质量传递项是按照以下公式计算的,

在求解器中使用的计算半径倒数的公式里面多了一个γ,这个项处理的意义或者优势是什么
二:质量传递项中处理按照这个方式处理,多加了0.01*pv,这个项的处理的意义是什么,按照空化模型给出的公式应该没有这个项
!
三:我按照这个公式取了α为0.5,0.8,pv-p=900,进行手算的出来的m的结果很大,大概是10e4量级,在水,空气两相的情况下,感觉一个单位体积的质量最大也就1000kg,这不合理,是我的理解有问题吗
如能解答,非常感谢 -
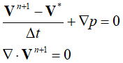
在两相流代码中添加空化模型的一些问题原两相流代码是基于有限差分方法,
速度压力解耦是使用的投影法,

第一步:求中间速度V*
第二步:
》》》》
求压力
第三步:求解速度

VOF 使用的是THINC/WLIC方法,(https://doi.org/10.1016/j.jcp.2007.06.020)通量更新如下


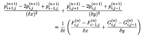
现在想把SchnerrSauer模型加进去,求解的方程是如下四个

我的思路如下:
首先在某一点,利用时间步n上的值,r,p利用方程(4)计算得到m,把带入方程(1)(2),利于前面提到的投影法的思路计算中间速度,用方程1,3,得到压力泊松方程(方程里面带有m),使用隐式迭代方法计算压力,用压力计算得到速度,然后使用前面提到的THINC 方法更新相分数,这样整体思路有问题吗,
如果没有,有几个涉及的细节问题,
1,因为m里面带有体积分数α,压力P,在求解压力泊松方程的时候如果不考虑空化离散的方程如下
,使用迭代法求解,考虑空化的情况会有m相关的项,m里面涉及的压力p需要如何考虑,就直接用算出来的m放到压力泊松方程里面,然后 迭代求解吗,
2.同样相分数更新的时候涉及m的项里面也有α,这个如何考虑,也是直接用算出来的m做一个源项计算吗,
3,在上面提到的THINC 方法中对相分数的跟新使用的是x,y方向交替更新的,加入空化后涉及到源项m,我在交替更新的时候x,y方向,每一个方向考虑0.5*m可以吗,
问题有点多,如果有对相关问题熟悉或者了解的前辈,希望不吝赐教,非常感谢。
或者有涉及到求解附带空化模型的N-S方程算法的文章可以分享吗,可能是我找文献方式有问题,没找到关于如何求解附带空化模型的N-S方程算法的文章 -
advection 和convection 的区别@cccrrryyy 非常感谢前辈的解释。