计算结束后出口总压≠出口静压+出口动压,是什么原因造成的?
-
各位老师好:
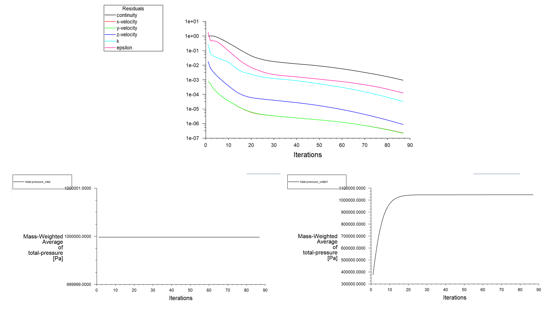
我用Fluent计算流道进出口之间的总压降,发现几个问题如下:- 我设置压力入口总压为1MPa,压力出口静压为0,计算结束后发现出口的总压反而比入口的还高,在没有外界做功的情况下我认为这是不合理的,总压平白无故增加了,为什么?
- 我详细看了看出口的压力分布,采用Mass-Weighted Average表面积分方法,发现出口处的总压和动压差距很大,按理来说,出口静压设置为0以后,总压和静压应该是相等的,但结果显示并不相等(见图1)。换用Area-Weighted Average方法或Facet Average 方法,问题依然存在,进一步导出出口的ASCII文件,发现出口处各单元的总压和动压也不相等(见图2)。总压≠静压+动压这个问题仅存在于计算结果中的出口处,入口完全没问题。
- 改变边界条件,换用速度入口和outflow出口的组合时上述问题2得以解决。但只要使用的是压力出口,不管是速度入口压力出口的组合,还是压力入口压力出口的组合,都存在这个问题。
Fluent的具体设置如图3所示,因为模型比较简单,收敛的也很快,计算在87次迭代后收敛,收敛情况及监控物理量如图4所示。
我想知道为什么会出现上述问题,出口的总压为什么会比入口高?出口处计算出来的压力和我预想的不一致的原因是什么?恳请各位老师指教。
图 1 采用Mass-Weighted Average表面积分方法时的出口压力结果
图 2 ASCII文件中的出口压力结果
图3 Fluent的具体设置
图4 计算收敛情况及监控物理量的变化情况