Skip to content
  • 最新
  • 版块
  • 东岳流体
  • 随机看[请狂点我]
皮肤
  • Light
  • Cerulean
  • Cosmo
  • Flatly
  • Journal
  • Litera
  • Lumen
  • Lux
  • Materia
  • Minty
  • Morph
  • Pulse
  • Sandstone
  • Simplex
  • Sketchy
  • Spacelab
  • United
  • Yeti
  • Zephyr
  • Dark
  • Cyborg
  • Darkly
  • Quartz
  • Slate
  • Solar
  • Superhero
  • Vapor

  • 默认(不使用皮肤)
  • 不使用皮肤
折叠
CFD中文网

CFD中文网

  1. CFD中文网
  2. 版块
  3. OpenFOAM
  4. 神经网络和OpenFOAM组合的新湍流模型问题讨论

神经网络和OpenFOAM组合的新湍流模型问题讨论

已定时 已固定 已锁定 已移动 OpenFOAM
2 帖子 1 发布者 2.9k 浏览
  • 从旧到新
  • 从新到旧
  • 最多赞同
回复
  • 在新帖中回复
登录后回复
此主题已被删除。只有拥有主题管理权限的用户可以查看。
  • S 离线
    S 离线
    SHUKK
    写于 最后由 编辑
    #1

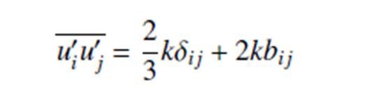
    各位OF大佬,你们好!目前,已经通过神经网络对雷诺应力进行了学习,这是我用的雷诺应力公式,
    a5dfe8fd-2553-43d3-9446-fcc6a4794287-image.png
    f69cd66b-7c6e-4457-867e-eea113b190ef-image.png
    其中,g(n)是我通过神经网络学习出来的,现在我想把雷诺应力的结果与OpenFOAM原有的湍流模型结合,利用RANS求解器来进一步变成U和p。由于是小白,就想问一下假如要这样做的实现湍流模型代码修改方向和编译的步骤。
    1、在原有的雷诺应力公式加上各向异性项bij?
    或是2、重新编写新的雷诺应力公式?
    :135:

    1 条回复 最后回复
  • S 离线
    S 离线
    SHUKK
    写于 最后由 编辑
    #2

    目前打算从稍微简单的kEpsilon或kOmage湍流模型进行修改

    1 条回复 最后回复

京ICP备15017992号-2

  • 登录

  • 登录或注册以进行搜索。
  • 第一个帖子
    最后一个帖子
0
  • 最新
  • 版块
  • 东岳流体
  • 随机看[请狂点我]