Skip to content
  • 最新
  • 版块
  • 东岳流体
  • 随机看[请狂点我]
皮肤
  • Light
  • Cerulean
  • Cosmo
  • Flatly
  • Journal
  • Litera
  • Lumen
  • Lux
  • Materia
  • Minty
  • Morph
  • Pulse
  • Sandstone
  • Simplex
  • Sketchy
  • Spacelab
  • United
  • Yeti
  • Zephyr
  • Dark
  • Cyborg
  • Darkly
  • Quartz
  • Slate
  • Solar
  • Superhero
  • Vapor

  • 默认(不使用皮肤)
  • 不使用皮肤
折叠
CFD中文网

CFD中文网

  1. CFD中文网
  2. OpenFOAM
  3. 关于晃荡惯性力的植入

关于晃荡惯性力的植入

已定时 已固定 已锁定 已移动 OpenFOAM
13 帖子 2 发布者 10.1k 浏览
  • 从旧到新
  • 从新到旧
  • 最多赞同
回复
  • 在新帖中回复
登录后回复
此主题已被删除。只有拥有主题管理权限的用户可以查看。
  • S 离线
    S 离线
    shuo
    写于 最后由 编辑
    #1

    各位大佬好
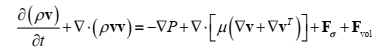
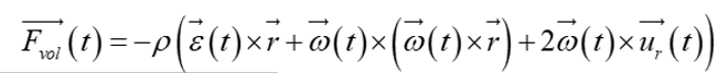
    本人openfoam小白,最近在学习液舱晃荡相关算例,想不使用动网格,通过在动量方程中添加惯性力实现晃荡,惯性力类似:
    ns方程.png
    惯性力.png
    在循环前植入:

    IOdictionary bodyForceProperties
    (
        IOobject
        (
            "bodyForceProperties",
            runTime.constant(),
            mesh,
            IOobject::MUST_READ_IF_MODIFIED,
            IOobject::NO_WRITE
        )
    );
    //幅值输入
    dimensionedScalar theta0_
    (
        "theta0_",
        dimless,
        bodyForceProperties
    );
    //频率输入
    dimensionedVector omega0_
    (
        "omega0_",
        dimensionSet(0,0,-1,0,0,0,0),  //给量纲
        bodyForceProperties
    );
    
    
    //液面高度输入
    dimensionedScalar freesurfacez
    (   "freesurfacez", 
        dimLength, 
        bodyForceProperties
    );
    const Time& time_ = mesh.time();
    scalar t = time_.value();
    vector omega0 = omega0_.value();
    scalar magomega0 = mag(omega0);
    scalar theta0 = theta0_.value();
    volVectorField rotateR = mesh.C();  
    forAll(rotateR,celli)
    {
       rotateR[celli].x() = 0.0;
       rotateR[celli].z() += freesurfacez.value();  //相当于绕y=0,z=-自由液面高度的轴旋转
    }
    dimensionedVector angulara //旋转角加速度
    (
       "angulara",
        dimensionSet(0,0,-2,0,0,0,0),  
        -omega0*magomega0*theta0*std::sin(magomega0*t)
    );
    dimensionedVector angularv //旋转角速度
    (
        "angularv",
        dimensionSet(0,0,-1,0,0,0,0),  
        omega0*theta0*std::cos(magomega0*t)
    );
    volVectorField bf
    (
        IOobject
        (
           "bf",
            runTime.timeName(),
            mesh,
            IOobject::NO_READ,
            IOobject::AUTO_WRITE
        ),
        (angulara^rotateR) + (angularv^(angularv^rotateR))+(2*angularv^U)
    );
    

    其中bf为惯性力,再将惯性力加到动量方程中:

    if (pimple.momentumPredictor())
    {
        solve
        (
            UEqn
         ==
            fvc::reconstruct
            (
                (
                    interface.surfaceTensionForce()  
                  - ghf*fvc::snGrad(rho)
                  - fvc::snGrad(p_rgh)               
                ) * mesh.magSf()
            )-bf
        );
    }
    
    

    算了一个30°,角频率1的算例,结果是这样的
    动画14.gif
    请问各位大佬问题出在哪里?

    1 条回复 最后回复
  • 李东岳李 在线
    李东岳李 在线
    李东岳 管理员
    写于 最后由 编辑
    #2

    这玩意挺有意思。不过你的方程里面epsilon、omega、Ur之类不知道是啥,有相关sci可以参考么

    9月CFD算法编程课: http://dyfluid.com/class.html

    需要帮助debug算例的看这个 https://cfd-china.com/topic/8018

    S 1 条回复 最后回复
  • S 离线
    S 离线
    shuo
    在 中回复了 李东岳 最后由 编辑
    #3

    @李东岳 李老师您好!epsilon是液舱晃荡的角加速度,omega是液舱晃荡的角速度,ur是相对于液舱的速度,也就是以液舱为参考系的速度。
    8c4a6b91-b540-43b2-9df8-e41357e1410b-image.png
    原文:
    1-s2.0-S0360544223003298-main.pdf

    1 条回复 最后回复
  • 李东岳李 在线
    李东岳李 在线
    李东岳 管理员
    写于 最后由 编辑
    #4

    在循环前植入:

    我忽然注意到你写的这个。你要在循环中更新一下这个量。你更新没有。

    9月CFD算法编程课: http://dyfluid.com/class.html

    需要帮助debug算例的看这个 https://cfd-china.com/topic/8018

    S 1 条回复 最后回复
  • 李东岳李 在线
    李东岳李 在线
    李东岳 管理员
    写于 最后由 编辑
    #5

    $$
    \begin{array}{l}
    \mathbf{F}_y(t)=-\rho\left(g \sin \theta(t)+y \omega(t)^2+z \varepsilon(t)+2 \omega(t) u_y(t)\right) \boldsymbol{j} \\
    \mathbf{F}_z(t)=-\rho\left(g \cos \theta(t)+z \omega(t)^2-y \varepsilon(t)-2 \omega(t) u_z(t)\right) \boldsymbol{k}
    \end{array}
    $$

    这个方程里面非粗体的$\omega,\varepsilon$以及$\theta_m,T$你知道是什么么

    9月CFD算法编程课: http://dyfluid.com/class.html

    需要帮助debug算例的看这个 https://cfd-china.com/topic/8018

    S 1 条回复 最后回复
  • S 离线
    S 离线
    shuo
    在 中回复了 李东岳 最后由 编辑
    #6

    @李东岳 在 关于晃荡惯性力的植入 中说:

    在循环前植入:

    我忽然注意到你写的这个。你要在循环中更新一下这个量。你更新没有。

    之前没有更新,我在UEqn.H文件的开头又加了一行:

    bf=(angulara^rotateR) + (angularv^(angularv^rotateR))+(2*angularv^U);
    

    但是算出来后的结果还是像上面的图那样

    1 条回复 最后回复
  • S 离线
    S 离线
    shuo
    在 中回复了 李东岳 最后由 编辑
    #7

    @李东岳 在 关于晃荡惯性力的植入 中说:

    $$
    \begin{array}{l}
    \mathbf{F}_y(t)=-\rho\left(g \sin \theta(t)+y \omega(t)^2+z \varepsilon(t)+2 \omega(t) u_y(t)\right) \boldsymbol{j} \\
    \mathbf{F}_z(t)=-\rho\left(g \cos \theta(t)+z \omega(t)^2-y \varepsilon(t)-2 \omega(t) u_z(t)\right) \boldsymbol{k}
    \end{array}
    $$

    这个方程里面非粗体的$\omega,\varepsilon$以及$\theta_m,T$你知道是什么么

    老师我的理解是,$\omega,\varepsilon$是标量表示的角速度和角加速度,文章里是把惯性力以分量的形式添加的,openfoam里的动量方程是矢量方程,我就直接把角速度和角加速度写成矢量,把惯性力直接加到方程里了,没有将其分解到y轴和z轴上。

    1 条回复 最后回复
  • 李东岳李 在线
    李东岳李 在线
    李东岳 管理员
    写于 最后由 编辑
    #8

    你那个bf带密度没有,把rho乘上看看

    9月CFD算法编程课: http://dyfluid.com/class.html

    需要帮助debug算例的看这个 https://cfd-china.com/topic/8018

    S 1 条回复 最后回复
  • S 离线
    S 离线
    shuo
    在 中回复了 李东岳 最后由 shuo 编辑
    #9

    @李东岳 李老师我重新检查了一下,之前bf是在求解UEqn时加入的,现在改成把rho*bf放在了方程UEqn里面。

    bf=(angulara^rotateR) + (angularv^(angularv^rotateR))+(2*angularv^U);
    fvVectorMatrix UEqn
    (
        fvm::ddt(rho, U)
      + fvm::div(rhoPhi, U)
      - fvm::Sp(fvc::ddt(rho) + fvc::div(rhoPhi), U)
      + turbulence->divDevRhoReff(rho, U)
      -rho*bf     //加在这里了                                                       
    );
    

    直接算还是不行,然后尝试在算例中关掉了重力

    dimensions   [0 1 -2 0 0 0 0];
    value             (0 0 0);
    

    这时候有晃荡现象了
    output_嗨格式压缩副本.gif
    是因为重力作用抵消了惯性力的作用吗?
    现在的模型没有表面张力系数sigema给的是0,使用的是层流laminar,和真实的横摇运动还有一定差距,请问李老师还有什么改进的建议吗 ?

    1 条回复 最后回复
  • 李东岳李 在线
    李东岳李 在线
    李东岳 管理员
    写于 最后由 编辑
    #10
    1. 应该是重力作用大于惯性力的作用,
    2. 你得植入效果已经出来了,你核实一下这个乘的rho应该是水的固定值密度,还是水跟空气混合的密度

    9月CFD算法编程课: http://dyfluid.com/class.html

    需要帮助debug算例的看这个 https://cfd-china.com/topic/8018

    1 条回复 最后回复
  • 李东岳李 在线
    李东岳李 在线
    李东岳 管理员
    写于 最后由 编辑
    #11

    怎么样 后来有进展么

    9月CFD算法编程课: http://dyfluid.com/class.html

    需要帮助debug算例的看这个 https://cfd-china.com/topic/8018

    S 1 条回复 最后回复
  • S 离线
    S 离线
    shuo
    在 中回复了 李东岳 最后由 编辑
    #12

    @李东岳 不好意思李老师,中间去做了一些别的工作,没有怎么学习of,最近又回头看了一下这个代码,用这个方法和of的动网格oscillatingRotatingMotion计算了同一个工况,结果还是显示在相同的振幅和频率下,惯性力不能像动网格一样使液舱出现明显的晃荡现象。感觉在液舱尺度是实验缩尺尺度下,惯性力也不是很大:135:

    1 条回复 最后回复
  • 李东岳李 在线
    李东岳李 在线
    李东岳 管理员
    写于 最后由 编辑
    #13

    我觉得你这个挺有意思的。初学可以练手用。但是个人觉得算法应该没有问题,出现不一致的情况可能还是哪里出现了小bug。

    9月CFD算法编程课: http://dyfluid.com/class.html

    需要帮助debug算例的看这个 https://cfd-china.com/topic/8018

    1 条回复 最后回复

京ICP备15017992号-2

  • 登录

  • 登录或注册以进行搜索。
  • 第一个帖子
    最后一个帖子
0
  • 最新
  • 版块
  • 东岳流体
  • 随机看[请狂点我]