Skip to content
  • 最新
  • 版块
  • 东岳流体
  • 随机看[请狂点我]
皮肤
  • Light
  • Cerulean
  • Cosmo
  • Flatly
  • Journal
  • Litera
  • Lumen
  • Lux
  • Materia
  • Minty
  • Morph
  • Pulse
  • Sandstone
  • Simplex
  • Sketchy
  • Spacelab
  • United
  • Yeti
  • Zephyr
  • Dark
  • Cyborg
  • Darkly
  • Quartz
  • Slate
  • Solar
  • Superhero
  • Vapor

  • 默认(不使用皮肤)
  • 不使用皮肤
折叠
CFD中文网

CFD中文网

  1. CFD中文网
  2. 版块
  3. OpenFOAM
  4. 关于修改湍流模型中非线性雷诺应力项的问题

关于修改湍流模型中非线性雷诺应力项的问题

已定时 已固定 已锁定 已移动 OpenFOAM
25 帖子 3 发布者 22.1k 浏览
  • 从旧到新
  • 从新到旧
  • 最多赞同
回复
  • 在新帖中回复
登录后回复
此主题已被删除。只有拥有主题管理权限的用户可以查看。
  • C 离线
    C 离线
    Chen_hao
    写于 最后由 编辑
    #1

    @李东岳 谢谢老师对我问题的指导,理解了针对“动量方程”雷诺应力项的修改就是通过修改linearViscousStress.C。
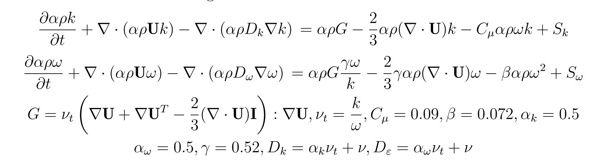
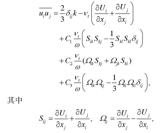
    我先介绍下我的研究方向:模拟三层液态金属组成的电池的不稳定性,随着电压增加时三层流体会发生不稳定性即湍流,目前组里采用DNS计算消耗计算资源太大,所以我需要采用湍流模型来尝试一下这个发生过程,我采用了基于磁流体修改后的K-omega模型,其需要加入磁动能源项与各项异性的雷诺应力,以下是我需要修改的非线性雷诺应力项:
    QQ截图20220617161225.png
    我的问题是:雷诺应力也包含在kOmega.H中如下:

    tmp<volTensorField> tgradU = fvc::grad(U);
        volScalarField G  
        (
            this->GName(),
            nut*(tgradU() && dev(twoSymm(tgradU())))
        );
        tgradU.clear();
    
     tmp<fvScalarMatrix> omegaEqn	
        (
            fvm::ddt(alpha, rho, omega_) 
          + fvm::div(alphaRhoPhi, omega_)
          - fvm::laplacian(alpha*rho*DomegaEff(), omega_)
         ==
            gamma_*alpha*rho*G*omega_/k_
          - fvm::SuSp(((2.0/3.0)*gamma_)*alpha*rho*divU, omega_)
          - fvm::Sp(beta_*alpha*rho*omega_, omega_)
          + fvOptions(alpha, rho, omega_)  
          + fvm::SuSp(Comg_*S/k_, omega_) 
        );
    

    其中G中包含线性雷诺应力,针对这个非线性雷诺应力是不是我需要同时:
    1、修改动量方程中的,即通过修改linearViscousStress.C;
    2、修改kOmega模型中的,即也要修改上面的G。

    初学openfoam见识浅薄,希望各位老师和同学能不吝赐教。

    1 条回复 最后回复
  • 李东岳李 离线
    李东岳李 离线
    李东岳 管理员
    写于 最后由 编辑
    #2

    可以按照这个形式,把你需要植入的东西高亮一下么

    捕获2.JPG

    CFD算法编程课: http://dyfluid.com/class.html

    需要帮助debug算例的看这个 https://cfd-china.com/topic/8018

    C 1 条回复 最后回复
  • C 离线
    C 离线
    Chen_hao
    在 中回复了 李东岳 最后由 编辑
    #3

    @李东岳
    1d4c6455-e7c6-4745-adca-6daf38318f29-H[]@OX2Z%XH)C}(8LJMOR1Q.png

    1 条回复 最后回复
  • 李东岳李 离线
    李东岳李 离线
    李东岳 管理员
    写于 最后由 编辑
    #4

    你可以把公式翻译成我那种矢量的形式么 这是在openfoam里面做植入的第一步

    CFD算法编程课: http://dyfluid.com/class.html

    需要帮助debug算例的看这个 https://cfd-china.com/topic/8018

    1 条回复 最后回复
  • 李东岳李 离线
    李东岳李 离线
    李东岳 管理员
    写于 最后由 编辑
    #5

    尤其是那个$S_k^{Diss}$,这个还看不出来能怎么写。不过要是这么植入的话,也可以,就是感觉有点硬植入的风格

    CFD算法编程课: http://dyfluid.com/class.html

    需要帮助debug算例的看这个 https://cfd-china.com/topic/8018

    1 条回复 最后回复
  • 李东岳李 离线
    李东岳李 离线
    李东岳 管理员
    写于 最后由 编辑
    #6

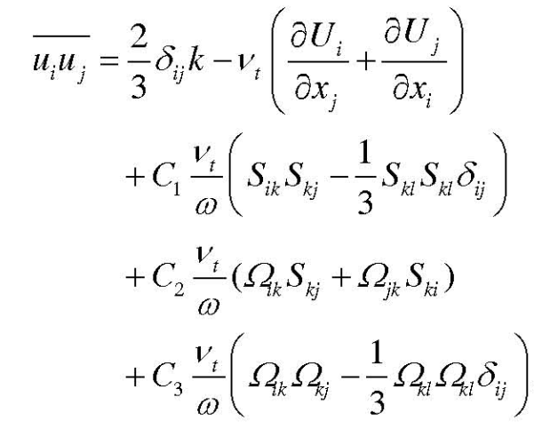
    比如$\bfS=\nabla\bfU+\nabla\bfU^T$,$S_{ik}S_{ki}=\bfS\cdot\bfS$,其他的你得自己写一下,比如这个$\boldsymbol{\tau}$怎么用$\bfS, \bfU$等表示出来

    CFD算法编程课: http://dyfluid.com/class.html

    需要帮助debug算例的看这个 https://cfd-china.com/topic/8018

    C 1 条回复 最后回复
  • C 离线
    C 离线
    Chen_hao
    在 中回复了 李东岳 最后由 编辑
    #7

    @李东岳
    十分感谢老师的耐心回答!回复不及时请见谅,明白老师的意思了,方程转换好了(在编辑中稍等一会给您发过来),就您说的源项部分我单纯定义了一个标量场(语言基础差点),自己在尝试,请老师见谅。

    c87f5636-4cb4-493e-bd12-df498f8e1f46-image.png

    李东岳李 1 条回复 最后回复
  • 李东岳李 离线
    李东岳李 离线
    李东岳 管理员
    在 中回复了 Chen_hao 最后由 编辑
    #8

    @chen_hao 嗯,你这种就是我说的类似硬植入,看起来有点那什么。如果Sdiff能转化就不需要这么植入了,如果不能转化那就这样了。就是看起来这种植入一般来说不多。

    CFD算法编程课: http://dyfluid.com/class.html

    需要帮助debug算例的看这个 https://cfd-china.com/topic/8018

    C 1 条回复 最后回复
  • C 离线
    C 离线
    Chen_hao
    在 中回复了 李东岳 最后由 编辑
    #9

    @李东岳
    45cef8c3-7e3b-4142-888f-5fac91b8244a-IVRS%`)91~)KLI}NLFKA2DI.png

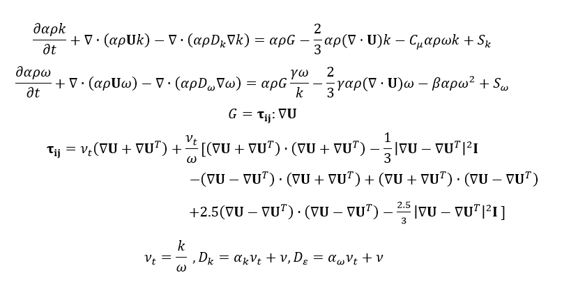
    关于雷诺应力张量形式,上面有错误,正确版如下:
    431a9ef8-7ab7-4486-909b-7e8b4d3848ad-L[OCC5NV(U5VNABTKSCMH]P.png

    不知道有没有错误,我也在写其代码,跟老师讨论。

    李东岳李 1 条回复 最后回复
  • 李东岳李 离线
    李东岳李 离线
    李东岳 管理员
    在 中回复了 Chen_hao 最后由 编辑
    #10

    @chen_hao 你这个公式写的很好!我对比了一些kOmega。你应该把原本kOmega中的$G$变成你现在的这个$G=\tau:\bfU$就可以了。这个$\tau$通过张量公式里面相应的代码植入一下就好,也不需要硬植入,也就不需要修改linearViscousStress.C了。

    CFD算法编程课: http://dyfluid.com/class.html

    需要帮助debug算例的看这个 https://cfd-china.com/topic/8018

    C 2 条回复 最后回复
  • C 离线
    C 离线
    Chen_hao
    在 中回复了 李东岳 最后由 编辑
    #11

    @李东岳
    谢谢老师夸奖。您的意思是,只需要更换KOmega中的G,目的是求解更精准的$ν_t$,从而作用到动量方程的U求解,故不需要再修改动量方程中的雷诺应力项,就可以达到效果。不知道理解的对不对,我一直在思考既然修改的话,需要两个地方统一变换,才能达到效果,希望老师能解答这个迷惑。

    李东岳李 1 条回复 最后回复
  • 李东岳李 离线
    李东岳李 离线
    李东岳 管理员
    在 中回复了 Chen_hao 最后由 编辑
    #12

    @chen_hao

    只需要更换KOmega中的G,目的是求解更精准的ν, 从而作用到动量方程的U求解,故不需要再修改动量方程中的雷诺应力项,就可以达到效果

    湍流模型的作用就是更改$\nu_t$这个值,所以你的理解是正确的,其他的不用改

    CFD算法编程课: http://dyfluid.com/class.html

    需要帮助debug算例的看这个 https://cfd-china.com/topic/8018

    C 1 条回复 最后回复
  • C 离线
    C 离线
    Chen_hao
    在 中回复了 李东岳 最后由 编辑
    #13

    @李东岳
    理解了,谢谢老师的耐心回答:146:

    X 1 条回复 最后回复
  • X 离线
    X 离线
    xpqiu 超神
    在 中回复了 Chen_hao 最后由 编辑
    #14

    @chen_hao
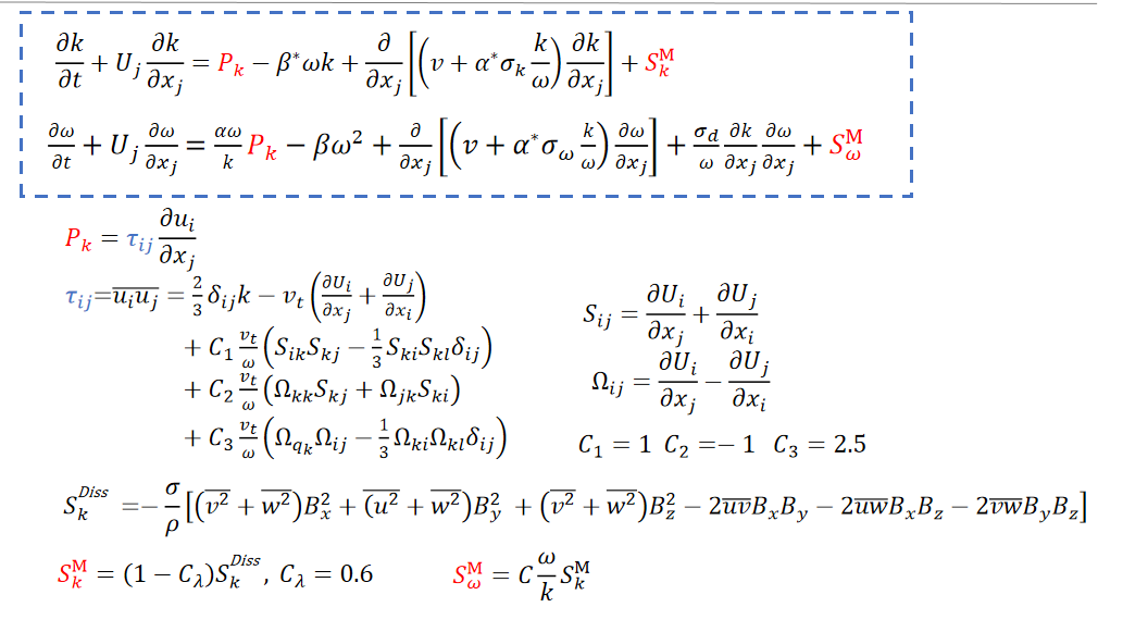
    你可以看看 src/TurbulenceModels/incompressible/turbulentTransportModels/RAS/ShihQuadraticKE 这个湍流模型
    这是一个非线性的湍流模型而且也只考虑了二阶非线性项,跟你要实现的那个类似。
    这类模型除了修改 $\nu_t$ ,还需要把雷诺应力的非线性部分加上。

    C 1 条回复 最后回复
  • 李东岳李 离线
    李东岳李 离线
    李东岳 管理员
    写于 最后由 李东岳 编辑
    #15

    对。

    1. 你要是动kOmega模型,可以把$G$换成你的$\tau$,在linearStress.C那面还要处理一下devTau函数,要把非线性的贡献加上($\tau$减去线性部分)。

    2. 你要是动非线性类模型如ShihQuadraticKE,把$G$换成你的$\tau$。这样不需要特为处理devTau函数了。但要处理下omega方程(如果没有的话)。

    CFD算法编程课: http://dyfluid.com/class.html

    需要帮助debug算例的看这个 https://cfd-china.com/topic/8018

    C 1 条回复 最后回复
  • C 离线
    C 离线
    Chen_hao
    在 中回复了 xpqiu 最后由 编辑
    #16

    @xpqiu 谢谢老师的回答,ShihQuadraticKE模型是一个很好的参考!

    这类模型除了修改 νt ,还需要把雷诺应力的非线性部分加上。

    您所指的加上雷诺应力非线性部分就是UEqn.H中turbulence->divDevRhoReff(rho, U)项的修改对吗?

    X 1 条回复 最后回复
  • X 离线
    X 离线
    xpqiu 超神
    在 中回复了 Chen_hao 最后由 编辑
    #17

    @chen_hao 在 关于修改湍流模型中非线性雷诺应力项的问题 中说:

    您所指的加上雷诺应力非线性部分就是UEqn.H中turbulence->divDevRhoReff(rho, U)项的修改对吗?

    不是,不需要修改这个函数,你仔细看看 ShihQuadraticKE 这个模型的继承关系,它继承的是 nonLinearEddyViscousity 类。这个类计算雷诺应力的方式不一样,除了线性项还有一个 nonLinearStress 项。你只要按照这个框架去写,把你的非线性项赋值给 nonLinearStress 就行了。

    1 条回复 最后回复
  • C 离线
    C 离线
    Chen_hao
    在 中回复了 李东岳 最后由 编辑
    #18

    @李东岳
    我会采用老师提供的第一种思路进行修改,感激不尽~

    1 条回复 最后回复
  • C 离线
    C 离线
    Chen_hao
    写于 最后由 编辑
    #19

    @xpqiu @李东岳

    QQ图片20220701101118.png

    老师,改程序中有个关于语法的问题不太确定,ShiQuadraticKE.C 中程序没有采用模板化的,但是KOmaga.C是采用模板化的,在我更改KOmaga.H文件的继承类时,我上图这个写法对不对,直接在nonlinearEddyViscosityincompressible::RASModel 中类比eddyViscosity<RASModel<BasicTurbulenceModel>>。

    1 条回复 最后回复
  • 李东岳李 离线
    李东岳李 离线
    李东岳 管理员
    写于 最后由 编辑
    #20

    我觉得你不用这么写。你动继承肯定会有一些问题,目前也看不出来,不是很strightworrd。比较简单的是:

    1. kOmega.H头文件不用动,你先去把tau植入到你的kOmega.C里面
    2. 计算G
    3. 去devTau函数里面把tau的非线性部分加上

    你要是按照ShiQuadraticKE套路来,

    1. 把k方程改成你的omega方程,不用动.H文件
    2. 非线性项按照你的tau去写

    第一种简单一些,但有一些硬植入。就是devTau函数这块
    第二种更灵活。做完了就是非线性komega模型。

    CFD算法编程课: http://dyfluid.com/class.html

    需要帮助debug算例的看这个 https://cfd-china.com/topic/8018

    1 条回复 最后回复

京ICP备15017992号-2

  • 登录

  • 登录或注册以进行搜索。
  • 第一个帖子
    最后一个帖子
0
  • 最新
  • 版块
  • 东岳流体
  • 随机看[请狂点我]