Skip to content
  • 最新
  • 版块
  • 东岳流体
  • 随机看[请狂点我]
皮肤
  • Light
  • Cerulean
  • Cosmo
  • Flatly
  • Journal
  • Litera
  • Lumen
  • Lux
  • Materia
  • Minty
  • Morph
  • Pulse
  • Sandstone
  • Simplex
  • Sketchy
  • Spacelab
  • United
  • Yeti
  • Zephyr
  • Dark
  • Cyborg
  • Darkly
  • Quartz
  • Slate
  • Solar
  • Superhero
  • Vapor

  • 默认(不使用皮肤)
  • 不使用皮肤
折叠
CFD中文网

CFD中文网

  1. CFD中文网
  2. 版块
  3. OpenFOAM
  4. 求解器中嵌入求解器

求解器中嵌入求解器

已定时 已固定 已锁定 已移动 OpenFOAM
4 帖子 2 发布者 3.8k 浏览
  • 从旧到新
  • 从新到旧
  • 最多赞同
回复
  • 在新帖中回复
登录后回复
此主题已被删除。只有拥有主题管理权限的用户可以查看。
  • 杨英狄杨 离线
    杨英狄杨 离线
    杨英狄
    写于 最后由 编辑
    #1

    请教一下各位
    OpenFOAM里面有没有求解器中嵌套另一个求解器的情况呢
    谢谢各位

    李东岳李 1 条回复 最后回复
  • 李东岳李 离线
    李东岳李 离线
    李东岳 管理员
    在 中回复了 杨英狄 最后由 编辑
    #2

    @杨英狄 可以在一个求解器中调用多套网格,多套控制系统,基本就是你说的这种方法了,简单的可以看看多计算域求解器chtMultiRegionFoam。

    CFD算法编程课: http://dyfluid.com/class.html

    需要帮助debug算例的看这个 https://cfd-china.com/topic/8018

    杨英狄杨 2 条回复 最后回复
  • 杨英狄杨 离线
    杨英狄杨 离线
    杨英狄
    在 中回复了 李东岳 最后由 编辑
    #3

    @李东岳 谢谢李老师

    1 条回复 最后回复
  • 杨英狄杨 离线
    杨英狄杨 离线
    杨英狄
    在 中回复了 李东岳 最后由 编辑
    #4

    @李东岳 李老师好,我想实现的是这样一个事情,如图:
    微信截图_20220424105257.png
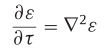
    在每一个计算时间步下,都计算一次扩散方程:微信截图_20220423193037.png
    从0求解至1,这个扩散方程的时间步是1/3
    可以请教李老师一下,这种有什么解决方法吗?
    非常感谢!

    1 条回复 最后回复

京ICP备15017992号-2

  • 登录

  • 登录或注册以进行搜索。
  • 第一个帖子
    最后一个帖子
0
  • 最新
  • 版块
  • 东岳流体
  • 随机看[请狂点我]