Skip to content
  • 最新
  • 版块
  • 东岳流体
  • 随机看[请狂点我]
皮肤
  • Light
  • Cerulean
  • Cosmo
  • Flatly
  • Journal
  • Litera
  • Lumen
  • Lux
  • Materia
  • Minty
  • Morph
  • Pulse
  • Sandstone
  • Simplex
  • Sketchy
  • Spacelab
  • United
  • Yeti
  • Zephyr
  • Dark
  • Cyborg
  • Darkly
  • Quartz
  • Slate
  • Solar
  • Superhero
  • Vapor

  • 默认(不使用皮肤)
  • 不使用皮肤
折叠
CFD中文网

CFD中文网

  1. CFD中文网
  2. 版块
  3. OpenFOAM
  4. 离散法求解群体平衡方程中的程序含义

离散法求解群体平衡方程中的程序含义

已定时 已固定 已锁定 已移动 OpenFOAM
2 帖子 1 发布者 2.9k 浏览
  • 从旧到新
  • 从新到旧
  • 最多赞同
回复
  • 在新帖中回复
登录后回复
此主题已被删除。只有拥有主题管理权限的用户可以查看。
  • C 离线
    C 离线
    Caijinjin
    写于 最后由 编辑
    #1

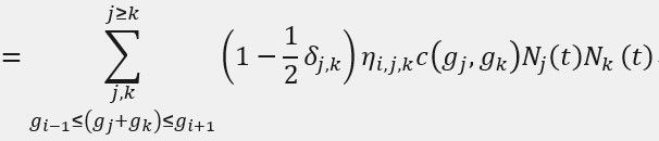
    在离散法求解群体平衡方程中,程序文件中颗粒聚并生成项(birthByCoalescence)和文献中的给的式子形式不太一样,请问哪位大佬可以帮忙解释以下程序中为什么还要多乘以颗粒的直径?
    C.jpg coalescence.jpg
    方程里面η在程序里面应该对应gamma,指的是颗粒的分配体积,c对应程序里的coalescenceRate

    1 条回复 最后回复
  • C 离线
    C 离线
    Caijinjin
    写于 最后由 编辑
    #2

    我自己暂时的理解是,程序中fjfj.phase()/fj.x()和fkfk.phase()/fk.x()指代的是j和k的颗粒数目,也就是右边公式中的Nj和Nk。但是其中的fj.phase和fk.phase是什么含义就有点不太明白了。还有就是聚并速率的量纲是m3/s的,程序里面为什么还要再乘以i颗粒体积fi.x()?这样子的话量纲就不是每秒了。

    1 条回复 最后回复

京ICP备15017992号-2

  • 登录

  • 登录或注册以进行搜索。
  • 第一个帖子
    最后一个帖子
0
  • 最新
  • 版块
  • 东岳流体
  • 随机看[请狂点我]