Your browser does not seem to support JavaScript. As a result, your viewing experience will be diminished, and you have been placed in read-only mode.
Please download a browser that supports JavaScript, or enable it if it's disabled (i.e. NoScript).
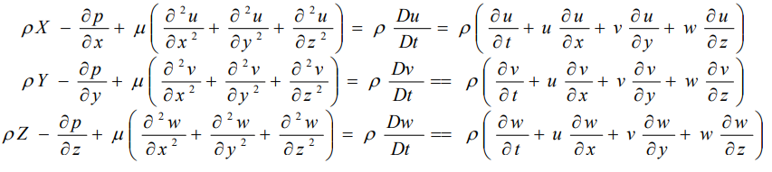
各位大佬,想把动量方程改成如下形式,即去掉三个分量方程中各自方向的速度分量对各自方 向的二阶偏导数 但是这个修改之后的方程应该怎么转化成张量呢? 或者说怎么将这个修改后的方程去编译到OF中呢
这个方程是要植入第一项么?$\rho X$的$X$是什么
@李东岳 老师这个是把三个分量方程中各自方向的速度分量对各自方向的二阶偏导数都去掉了产生的方程。X值得是fx,他的原方程是这样的: 因为是直接就删掉了,所以咋编进去有点疑惑,不知道咋给他弄成张量表示法编进OF中
你这个方程看不太懂,为什么2个等号
X是fx,那fx是什么?