Skip to content
  • 最新
  • 版块
  • 东岳流体
  • 随机看[请狂点我]
皮肤
  • Light
  • Cerulean
  • Cosmo
  • Flatly
  • Journal
  • Litera
  • Lumen
  • Lux
  • Materia
  • Minty
  • Morph
  • Pulse
  • Sandstone
  • Simplex
  • Sketchy
  • Spacelab
  • United
  • Yeti
  • Zephyr
  • Dark
  • Cyborg
  • Darkly
  • Quartz
  • Slate
  • Solar
  • Superhero
  • Vapor

  • 默认(不使用皮肤)
  • 不使用皮肤
折叠
CFD中文网

CFD中文网

  1. CFD中文网
  2. 版块
  3. OpenFOAM
  4. 如何实现两层流体密度过渡区的随某一方程变化

如何实现两层流体密度过渡区的随某一方程变化

已定时 已固定 已锁定 已移动 OpenFOAM
6 帖子 3 发布者 6.1k 浏览
  • 从旧到新
  • 从新到旧
  • 最多赞同
回复
  • 在新帖中回复
登录后回复
此主题已被删除。只有拥有主题管理权限的用户可以查看。
  • 是 离线
    是 离线
    是嘿嘿牛啊
    写于 最后由 编辑
    #1

    9cb3326f-4aa8-407d-88ef-d6ce35eb34bc-image.png
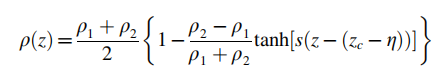
    如图上下两层流体密度不同,想要使得中间混合区的密度根据某一方程变化,应该如何实现
    da64a335-141f-4216-8881-66ad8f275f2a-image.png

    Z 1 条回复 最后回复
  • Z 离线
    Z 离线
    zhouxu
    在 中回复了 是嘿嘿牛啊 最后由 编辑
    #2

    @是嘿嘿牛啊 类似于,interFoam中密度的计算,根据相体积分数加权得到

    是 1 条回复 最后回复
  • 李东岳李 离线
    李东岳李 离线
    李东岳 管理员
    写于 最后由 编辑
    #3

    这个问题有点疑惑。流体是不动的?如果动的话,中间这个区域肯定会变啊,类似KH不稳定性那种。

    CFD算法编程课: http://dyfluid.com/class.html

    需要帮助debug算例的看这个 https://cfd-china.com/topic/8018

    是 1 条回复 最后回复
  • 是 离线
    是 离线
    是嘿嘿牛啊
    在 中回复了 李东岳 最后由 编辑
    #4

    @李东岳 流体是运动的 ,K-H不稳定也是有的,只是想在初始时刻给这个混合区指定一个从ρ1→ρ2密度分布。

    1 条回复 最后回复
  • 是 离线
    是 离线
    是嘿嘿牛啊
    在 中回复了 zhouxu 最后由 编辑
    #5

    @zhouxu 感谢回答,我还是不太明白,您有参考文档吗,如何在openfoam中表现

    Z 1 条回复 最后回复
  • Z 离线
    Z 离线
    zhouxu
    在 中回复了 是嘿嘿牛啊 最后由 编辑
    #6

    @是嘿嘿牛啊 密度是被动地,是根据流体种类、温度和压力变化的,你可以设置上下两层温差或不同的流体种类

    1 条回复 最后回复

京ICP备15017992号-2

  • 登录

  • 登录或注册以进行搜索。
  • 第一个帖子
    最后一个帖子
0
  • 最新
  • 版块
  • 东岳流体
  • 随机看[请狂点我]