Skip to content
  • 最新
  • 版块
  • 东岳流体
  • 随机看[请狂点我]
皮肤
  • Light
  • Cerulean
  • Cosmo
  • Flatly
  • Journal
  • Litera
  • Lumen
  • Lux
  • Materia
  • Minty
  • Morph
  • Pulse
  • Sandstone
  • Simplex
  • Sketchy
  • Spacelab
  • United
  • Yeti
  • Zephyr
  • Dark
  • Cyborg
  • Darkly
  • Quartz
  • Slate
  • Solar
  • Superhero
  • Vapor

  • 默认(不使用皮肤)
  • 不使用皮肤
折叠
CFD中文网

CFD中文网

  1. CFD中文网
  2. OpenFOAM
  3. OpenFOAM两相流模型的计算域积分问题

OpenFOAM两相流模型的计算域积分问题

已定时 已固定 已锁定 已移动 OpenFOAM
3 帖子 2 发布者 2.8k 浏览
  • 从旧到新
  • 从新到旧
  • 最多赞同
回复
  • 在新帖中回复
登录后回复
此主题已被删除。只有拥有主题管理权限的用户可以查看。
  • 是 离线
    是 离线
    是嘿嘿牛啊
    写于 最后由 编辑
    #1

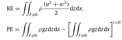
    请教一下各位老师前辈,在运用OpenFOAM两相流模块后处理时,如何只对水域的数据进行积分而不牵扯到气域,我尝试过用tecplot直接积分,但是只能针对整个计算域,不能水气分开,下图是我要在水域进行的面积分公式(二维模型)。
    1633255518(1).png

    队长别开枪队 1 条回复 最后回复
  • 队长别开枪队 离线
    队长别开枪队 离线
    队长别开枪 超神
    在 中回复了 是嘿嘿牛啊 最后由 编辑
    #2

    @是嘿嘿牛啊 乘以相体积分数。

    是 1 条回复 最后回复
  • 是 离线
    是 离线
    是嘿嘿牛啊
    在 中回复了 队长别开枪 最后由 编辑
    #3

    @队长别开枪 明白了,谢谢老师!

    1 条回复 最后回复

京ICP备15017992号-2

  • 登录

  • 登录或注册以进行搜索。
  • 第一个帖子
    最后一个帖子
0
  • 最新
  • 版块
  • 东岳流体
  • 随机看[请狂点我]