Skip to content
  • 最新
  • 版块
  • 东岳流体
  • 随机看[请狂点我]
皮肤
  • Light
  • Cerulean
  • Cosmo
  • Flatly
  • Journal
  • Litera
  • Lumen
  • Lux
  • Materia
  • Minty
  • Morph
  • Pulse
  • Sandstone
  • Simplex
  • Sketchy
  • Spacelab
  • United
  • Yeti
  • Zephyr
  • Dark
  • Cyborg
  • Darkly
  • Quartz
  • Slate
  • Solar
  • Superhero
  • Vapor

  • 默认(不使用皮肤)
  • 不使用皮肤
折叠
CFD中文网

CFD中文网

  1. CFD中文网
  2. OpenFOAM
  3. 请教:不同方向的旋涡相遇能保持继续保持自己的旋转方向?

请教:不同方向的旋涡相遇能保持继续保持自己的旋转方向?

已定时 已固定 已锁定 已移动 OpenFOAM
2 帖子 2 发布者 2.6k 浏览
  • 从旧到新
  • 从新到旧
  • 最多赞同
回复
  • 在新帖中回复
登录后回复
此主题已被删除。只有拥有主题管理权限的用户可以查看。
  • 波 离线
    波 离线
    波流力
    写于 最后由 编辑
    #1

    最近做数值模拟遇到一个不解的问题,就是不同方向的旋涡相遇后,在中间某个区域无法捕捉到流向涡,但是,经过一段距离后,流向涡又再次出现,远尾迹场中依然残留它的运动轨迹,怎么从物理层面进行解释?流向涡仅在某个区间消失了怎么解释???

    三维旋涡(Q=0.5)
    7645aa9c-d818-49d1-85bc-01cf32f6d0a7-image.png

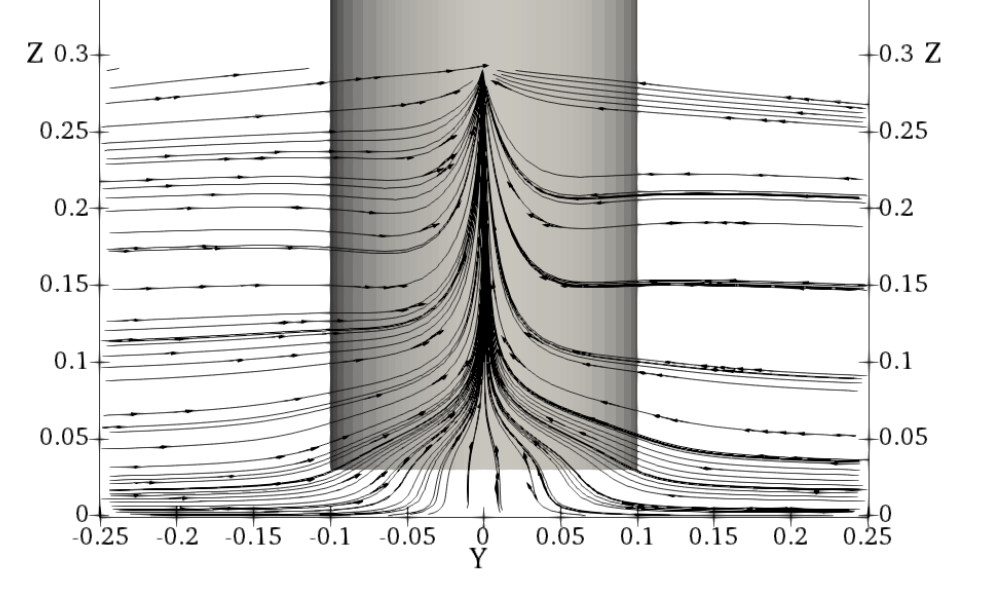
    具体参数:x=0,位于柱体中心,水深0.3m,模型宽度0.2m,长度0.4, 模型入水深度0.24m,上图说话,几个位置处的平均流线图如下:
    (1) x=-0.1m:
    d4056108-a098-4ede-9833-a87a0084165e-image.png

    (2) x=0m:
    11391019-dfd0-47a9-a765-02f1bf0331df-image.png

    (3) x=0.3m:
    007157d2-5cbf-4bdc-a095-f6b4fe8f2801-image.png

    (4) x=0.4m:
    1dda0054-074f-425e-a15c-98d281983227-image.png
    (5) x=0.6m:
    2cc11a47-afed-4bc0-a469-ae959ef87175-image.png

    (6) x=1m:
    dcac9f2c-7f5d-435d-92b0-ee288218e520-image.png

    1 条回复 最后回复
  • bestucanB 离线
    bestucanB 离线
    bestucan 版主 大神
    写于 最后由 编辑
    #2

    尝试解释一下:mihu:

    就是0.3图里的涡在0.4不见了,然后1里又出来了?

    0.3里刚过柱体,柱体后面压力小,然后左右流体往中间挤,挤不动了,要么往上要么往下,往下是墙,只能往上冒,就是0.3里的涡

    0.4里不见了,因为这个柱体下面有个空隙,流体在过空隙的时候很挤,过了空隙就释放压力,下边是墙,是能往上释放,然后空隙里出来的流体就把0.3里的涡往上托,托到液面托没了就成0.4了

    然后0.6,为了释放压力往上托涡,但又因为惯性,释放过头了,涡把流体都往上带,下面就出现低压区了,然后左右的流体都往中间流,在这里碰头,可以从0.6看见他们碰头后很纠结,不知道往上走还是往下走

    然后是1,往上的那部分变成了0.3的涡尾,往下的那部分,又卷出来个涡。

    要是水足够深,应该能同时看见0.3和1的涡共存。

    再形象点,就是0.3里的涡是柱体后的低压区造成。1里的涡就像柱体下的狭缝放的“屁”,一个屁把0.3里的涡挤走了……:yes:

    滚来滚去……~(~o ̄▽ ̄)~o 滚来滚去都不能让大家看出来我不是老师么 O_o

    异步沟通方式(《posting style》from wiki)(下载后打开):
    https://www.jianguoyun.com/p/Dc52X2sQsLv2BRiqnKYD
    提问的智慧(github在gitee的镜像):
    https://gitee.com/bestucan/How-To-Ask-Questions-The-Smart-Way

    1 条回复 最后回复

京ICP备15017992号-2

  • 登录

  • 登录或注册以进行搜索。
  • 第一个帖子
    最后一个帖子
0
  • 最新
  • 版块
  • 东岳流体
  • 随机看[请狂点我]