Skip to content
  • 最新
  • 版块
  • 东岳流体
  • 随机看[请狂点我]
皮肤
  • Light
  • Cerulean
  • Cosmo
  • Flatly
  • Journal
  • Litera
  • Lumen
  • Lux
  • Materia
  • Minty
  • Morph
  • Pulse
  • Sandstone
  • Simplex
  • Sketchy
  • Spacelab
  • United
  • Yeti
  • Zephyr
  • Dark
  • Cyborg
  • Darkly
  • Quartz
  • Slate
  • Solar
  • Superhero
  • Vapor

  • 默认(不使用皮肤)
  • 不使用皮肤
折叠
CFD中文网

CFD中文网

  1. CFD中文网
  2. 版块
  3. Algorithm
  4. 请教各位老师,差分需要用到t=0之前的时间信息,一般如何处理?

请教各位老师,差分需要用到t=0之前的时间信息,一般如何处理?

已定时 已固定 已锁定 已移动 Algorithm
3 帖子 2 发布者 4.6k 浏览
  • 从旧到新
  • 从新到旧
  • 最多赞同
回复
  • 在新帖中回复
登录后回复
此主题已被删除。只有拥有主题管理权限的用户可以查看。
  • FluidGaoF 离线
    FluidGaoF 离线
    FluidGao
    写于 最后由 编辑
    #1

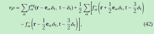
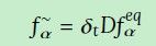
    最近看到的一种轴对称模型,采用中心差分处理,把下式45式代入42式,不就需要t - 2δt,请问这种情况应该怎么处理呢??
    批注 2020-07-03 001305.jpg

    批注 2020-07-03 001324.jpg
    其中,批注 2020-07-03 001241.jpg

    1 条回复 最后回复
  • 李东岳李 离线
    李东岳李 离线
    李东岳 管理员
    写于 最后由 编辑
    #2

    OpenFOAM中可以用U.oldTime()获取

    CFD算法编程课: http://dyfluid.com/class.html

    需要帮助debug算例的看这个 https://cfd-china.com/topic/8018

    FluidGaoF 1 条回复 最后回复
  • FluidGaoF 离线
    FluidGaoF 离线
    FluidGao
    在 中回复了 李东岳 最后由 编辑
    #3

    @东岳 那请问东岳老师,在t=0,和t=1时刻,这个函数返回的值是什么意义呢?

    1 条回复 最后回复

京ICP备15017992号-2

  • 登录

  • 登录或注册以进行搜索。
  • 第一个帖子
    最后一个帖子
0
  • 最新
  • 版块
  • 东岳流体
  • 随机看[请狂点我]