Your browser does not seem to support JavaScript. As a result, your viewing experience will be diminished, and you have been placed in read-only mode.
Please download a browser that supports JavaScript, or enable it if it's disabled (i.e. NoScript).
大家好!我用标准的 k-epsilon 模型模拟了一个 plane free jet 的案例,Re=3000
结果的速度场看起来很不错。
但是,中心线的湍流强度分布和湍动能却非常离谱。比如,实验的湍流强度是先上升,然后下降并趋于一个渐近值。
k-epsilon 模型所得的湍流强度的趋势也是先上升后下降,但大小就很离谱了。
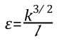
我用的边界条件如下: 进口:速度入口,按下式指定湍动能 k 和耗散率 epsilon。
侧边和右侧出口指定为压力出口。喷嘴两侧的边界为无滑移壁。
不太清楚Fluent那面如何处理的,但感觉你湍流强度好像画的不对。竟然达到100%。
@东岳 经您这么一提醒,我搜了一下 fluent 里面是如何计算湍流强度的。原来用到了 参考速度。感谢,问题大概是已经解决了。 https://www.cfd-online.com/Forums/fluent/37012-turbulence-intensity.html
结果怎样,我想用openfoam算一下作为一个基础算例
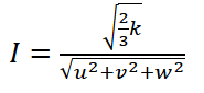
@东岳 速度的结果很不错,能和实验对上。湍流强度呢,我用湍动能来计算的,结果偏小。 I 是湍流强度,k 是湍动能。参考速度选的入口速度,v,w为0,所以下式被我简化成了 $\sqrt{2k/3}/u_in$,不知道是否正确。
你的值看起来低估了。使用当地网格点的速度应该可以把黑线提上去,你试试$I=\sqrt{2k/3}/|\bfU_{cell}|$?
@东岳 用局部速度作为参考速度,结果大概是这样。
倒是可以解释,因为速度进来之后也呈现衰减的分布,所有呈现了直线。如果采用固定速度,则这种衰减可以体现出来。但绝对值较低。
你有没有试试k-Omega?或者调整下网格?离散格式?
@东岳 k-omega 如下图所示。我测试过网格的影响,对湍动能和速度分布的影响很小,离散方法应该只影响计算精度,不会改变趋势吧。还有待测试。感谢李老师。
离散格式会影响耗散性。高阶精度的值会更尖锐。
从下面这个图来看,前面突出的部分存在于小Re。小Re更倾向于使用低雷诺数湍流模型。你要不要算算Re=16500看看结果怎么样。如果符合的话,说明问题出现于湍流模型。
@东岳 我用 1 阶精度算湍流变量。发现 Re=3000 时匹配挺好的,Re=16500 不太好,前端还是有个突起。我也不是太懂,有待进一步研究了。