reactingtwophaseeulerfoam?
-
http://dyfluid.com/reactingTwoPhaseEulerFoam.html
In the website above, equation(24) is the sum of two continuity equations. Thus, I think the source term should be added here? Please give me some suggestions.
pEqnComp1 = ( contErr1 - fvc::Sp(fvc::ddt(alpha1) + fvc::div(alphaPhi1), rho1) )/rho1 + (alpha1*psi1/rho1)*correction(fvm::ddt(p_rgh)) + fvc::laplacian(phase2.turbulence().nut()/mysigma,alpha1);The last line is added by myself, also for pEqnComp1. I don't know why it can be run with minus that bold term while I changed the sign to be plus the simulation crashed.
-
Seems you are trying to add turbulent dispersion term in the alpha equation. It is a laplacian term. A positive laplacian term usually introduce problem since it can be seen as a negative negative laplacian term, which behaves as anti-diffusion. You can follow your step to construct pressure equation including the turbulent dispersion force as a source term. Another method is to employ to operator splitting method that you can simply solve the turbulent dispersion as a last step. In this manner the pressure equation is retained.
-
@东岳 在 reactingtwophaseeulerfoam? 中说:
t is a laplacian term. A positive laplacian term u
Thanks a lot, dongyue. I check the term I implemented are both the positive and negative values. Why minus has no problem and plus occurs the problem. Sorry, what do you mean follow my step to introduce a dispersion force as source term? and Another operator is?How to split ? One thing needs to be clear, here I did not use Sp or SuSp, but do you think it will lead different results?
-
@东岳 !

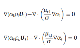
This is the mass conservation equation I am using. The sign of laplacian term here is minus. However, as your page http://dyfluid.com/reactingTwoPhaseEulerFoam.html in equation(24), it should be plus I think if I understand well. I am confused that the sign of source term will induce large different result or no? -
The source term in Eq. (24) does not come from the laplacian term. It comes from the convection term. Eq. (24) is not related to your posted equations. The laplacian terms in your posted image are turbulent dispersion terms. In OpenFOAM they are not implemented in this manner.
-
@东岳 If I understand well, equation (24) was changed by the sum of two mass conservation equation. However I must add that term in the mass conservation equation. So the position I implemented the laplacian term is right? The mass conservation equation shown in picture is our own equation.
-
@东岳 Frankly, I use the minus sign and I got the results however they doesn't agree well with the results from PHOENICS. The velocity profile seems shift in some degree. So I would like to try "plus" this term. I am not sure the place I added is right or not. When I change one to be plus and the other to be minus, it runs well and the results seems better.
-
@东岳 Sorry. I am still confused that how the equation(24) mentioned in your page could be solved in OpenFoam. In the source code:
solve ( pEqnComp1() + pEqnComp2() + pEqnIncomp, mesh.solver(p_rgh.select(pimple.finalInnerIter())) );why
pEqnComp1() + pEqnComp2() + pEqnIncompranther than- pEqnComp1() - pEqnComp2() + pEqnIncomp. Because in your equation(24), pEqnComp1() + pEqnComp2() in the right side while pEqnIncomp in the left side. -
Thanks for your feedback. The R.H.S. of the following equation should be a
-sign. It was corrected.
\begin{equation}\label{comp_nablaU}
\underset{\mathrm{pEqnIncomp}}{\underbrace{\nabla\cdot\left(\alpha_\rd\bfU_\rd+\alpha_\rc\bfU_\rc\right)}}=\underset{\mathrm{\color{red}{-}pEqnComp1\color{red}{-}pEqnComp2}}{\underbrace{-\frac{\alpha_\rd}{\rho_\rd}\frac{\rD\rho_\rd}{\rD t}-\frac{\alpha_\rc}{\rho_\rc}\frac{\rD\rho_\rc}{\rD t} }}.
\end{equation}What is the first term? Its a second order tensor which is not consistent with the second term (scalar).
