openfoam6.0版本中标准k-e模型的Gk项发生了变化?
-
在之前版本中:
volScalarField G(GName(), nut_2magSqr(symm(fvc::grad(U_))));
这个可以对应上fluent帮助文档上的相关公式:

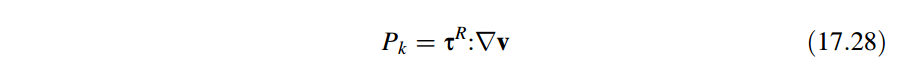
和《The Finite Volume Method in Computational Fluid Dynamics An Advanced Introduction with OpenFOAM® and Matlab®》的:

这两个是一样的,但是OF6.0表示为:volScalarField::Internal G ( this->GName(), nut.v()*(dev(twoSymm(tgradU().v())) && tgradU().v()) );好像跟之前的表达式并不一样啊,是我理解错了吗?
-
@shampoo Fluent中给出的最后公式是针对不可压缩流。较新的Openfoam版本都将可压缩和不可压缩糅合在一起了,注意G项和P项的差异,《The Finite Volume Method in Computational Fluid Dynamics An Advanced Introduction with OpenFOAM® and Matlab®》有较为详细的推导过程,最后结论也是针对不可压缩流。可以参考下这个https://zhuanlan.zhihu.com/p/54802989,关于湍流模型这块,我也还有好多东西没搞懂,接着在看,希望共同进步!

化成

在不可压缩的时候是0