Skip to content
  • 最新
  • 版块
  • 东岳流体
  • 随机看[请狂点我]
皮肤
  • Light
  • Cerulean
  • Cosmo
  • Flatly
  • Journal
  • Litera
  • Lumen
  • Lux
  • Materia
  • Minty
  • Morph
  • Pulse
  • Sandstone
  • Simplex
  • Sketchy
  • Spacelab
  • United
  • Yeti
  • Zephyr
  • Dark
  • Cyborg
  • Darkly
  • Quartz
  • Slate
  • Solar
  • Superhero
  • Vapor

  • 默认(不使用皮肤)
  • 不使用皮肤
折叠
CFD中文网

CFD中文网

  1. CFD中文网
  2. 版块
  3. Algorithm
  4. 关于QMOM矩初值的给定

关于QMOM矩初值的给定

已定时 已固定 已锁定 已移动 Algorithm
26 帖子 2 发布者 31.8k 浏览
  • 从旧到新
  • 从新到旧
  • 最多赞同
回复
  • 在新帖中回复
登录后回复
此主题已被删除。只有拥有主题管理权限的用户可以查看。
  • waltenW 离线
    waltenW 离线
    walten
    在 中回复了 李东岳 最后由 编辑
    #17

    @东岳 2019-11-26_103247.jpg 2019-11-26_103256.jpg

    文献中的一些物性参数。

    1 条回复 最后回复
  • 李东岳李 离线
    李东岳李 离线
    李东岳 管理员
    写于 最后由 编辑
    #18

    你的d10 = 0.000235,你的计算的$m_1/m_0=0.26$?这两个值应该相等

    CFD算法编程课: http://dyfluid.com/class.html

    需要帮助debug算例的看这个 https://cfd-china.com/topic/8018

    waltenW 3 条回复 最后回复
  • waltenW 离线
    waltenW 离线
    walten
    在 中回复了 李东岳 最后由 编辑
    #19

    @东岳 是的,0阶矩是颗粒总数量,1阶是颗粒总长度,m1/m0应该是平均粒径,所以我计算时是不是哪里出问题了?我也还在排查,而且N的计算值也不对。

    1 条回复 最后回复
  • waltenW 离线
    waltenW 离线
    walten
    在 中回复了 李东岳 最后由 编辑
    #20

    @东岳 东岳老师,我把计算excel表中A3和A4 两个数值的公式中的log改成了ln,得到的结果比较一致了,但是N仍然不对。您看下。2019-11-26_110345.jpg

    1 条回复 最后回复
  • waltenW 离线
    waltenW 离线
    walten
    在 中回复了 李东岳 最后由 编辑
    #21

    @东岳 东岳老师,C语言中的语法是 log 是以e为底,log10 是以10为底。。但是平时书写log是以10为底,以e为底是不是习惯写成ln。所以看到您文章里的log我就想当然的用了10为底的log,excel中log也是默认以10为底。。所以会有以上的计算误差。现在剩下的问题就是N的计算了。。

    waltenW 1 条回复 最后回复
  • waltenW 离线
    waltenW 离线
    walten
    在 中回复了 walten 最后由 编辑
    #22

    @walten 东岳老师,我试出来了。还是用的您给的公式,2019-11-26_114435.jpg
    只不过这里的αd不是指床层的固含率,而是指 所有填充颗粒占整个反应器的体积分数,这样的话文献中的初始固含率0.6经过换算应该为0.033。然后代入N公式,最后计算出来的值与文献基本一致。
    2019-11-26_114557.jpg
    感谢东岳老师百忙之中的指点,我终于解开了这个谜团了。。。
    另:我又发现了您分享文献里的几个笔误。
    1:公式94下边第一句话,standard 写成了dtandard。
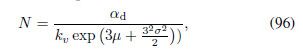
    2:公式96分母右边括号多了一半。

    李东岳李 1 条回复 最后回复
  • 李东岳李 离线
    李东岳李 离线
    李东岳 管理员
    在 中回复了 walten 最后由 编辑
    #23

    @walten 试出来就好!谢谢,我回去更新下

    CFD算法编程课: http://dyfluid.com/class.html

    需要帮助debug算例的看这个 https://cfd-china.com/topic/8018

    waltenW 1 条回复 最后回复
  • waltenW 离线
    waltenW 离线
    walten
    在 中回复了 李东岳 最后由 编辑
    #24

    @东岳 就是还是那个问题,书写习惯中log是不是一般是指以10为底的对数。如果这样的话,您文章里应该写成ln,避免引起误会。

    李东岳李 1 条回复 最后回复
  • 李东岳李 离线
    李东岳李 离线
    李东岳 管理员
    在 中回复了 walten 最后由 编辑
    #25

    @walten 感谢,已更新,也可以看看前面的内容,矩方法这面算法的问题非常多,尤其是realizablitity的问题,Fluent并没有处理realizablitity和boundedness的问题,不知道你后续会不会发现

    CFD算法编程课: http://dyfluid.com/class.html

    需要帮助debug算例的看这个 https://cfd-china.com/topic/8018

    waltenW 1 条回复 最后回复
  • waltenW 离线
    waltenW 离线
    walten
    在 中回复了 李东岳 最后由 编辑
    #26

    @东岳 我现在接触的还很浅。。以后碰到这方面问题再来请教~~

    1 条回复 最后回复

京ICP备15017992号-2

  • 登录

  • 登录或注册以进行搜索。
  • 第一个帖子
    最后一个帖子
0
  • 最新
  • 版块
  • 东岳流体
  • 随机看[请狂点我]