Skip to content
  • 最新
  • 版块
  • 东岳流体
  • 随机看[请狂点我]
皮肤
  • Light
  • Cerulean
  • Cosmo
  • Flatly
  • Journal
  • Litera
  • Lumen
  • Lux
  • Materia
  • Minty
  • Morph
  • Pulse
  • Sandstone
  • Simplex
  • Sketchy
  • Spacelab
  • United
  • Yeti
  • Zephyr
  • Dark
  • Cyborg
  • Darkly
  • Quartz
  • Slate
  • Solar
  • Superhero
  • Vapor

  • 默认(不使用皮肤)
  • 不使用皮肤
折叠
CFD中文网

CFD中文网

  1. CFD中文网
  2. Algorithm
  3. 关于准一维流动速度面积关系式的一个问题

关于准一维流动速度面积关系式的一个问题

已定时 已固定 已锁定 已移动 Algorithm
2 帖子 1 发布者 2.8k 浏览
  • 从旧到新
  • 从新到旧
  • 最多赞同
回复
  • 在新帖中回复
登录后回复
此主题已被删除。只有拥有主题管理权限的用户可以查看。
  • 熬 离线
    熬 离线
    熬夜打呼噜
    写于 最后由 编辑
    #1
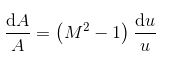
    \frac{\mathrm{d} A}{A}=\left ( M^{2}-1 \right )\frac{\mathrm{d} u}{u}
    
    1 条回复 最后回复
  • 熬 离线
    熬 离线
    熬夜打呼噜
    写于 最后由 李东岳 编辑
    #2

    新人发帖,还不懂如何编辑帖子,请各位老师见谅。
    捕获.JPG
    该公式是安德森的空气动力学基础一书中对等熵条件下准一维流动推导出的速度面积关系式。根据该关系式,当管道流通面积A不变时,速度u是不变的,则根据质量守恒关系可以知道密度和压力都是不变的。但是我在观察真实条件下的抽气管道流动中,在管道流通面积不变的情况下,上游管道静压大于下游管道静压(下游安装有抽气机组)。请问这是否说明等熵条件下准一维流动速度面积关系式不适用于真实条件下的均匀管道流动?
    流体力学小白,还希望有老师能指点一下。

    $\frac{\mathrm{d} A}{A}=\left ( M^{2}-1 \right )\frac{\mathrm{d} u}{u}$

    1 条回复 最后回复

京ICP备15017992号-2

  • 登录

  • 登录或注册以进行搜索。
  • 第一个帖子
    最后一个帖子
0
  • 最新
  • 版块
  • 东岳流体
  • 随机看[请狂点我]