Your browser does not seem to support JavaScript. As a result, your viewing experience will be diminished, and you have been placed in read-only mode.
Please download a browser that supports JavaScript, or enable it if it's disabled (i.e. NoScript).
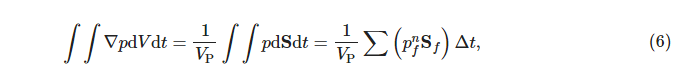
http://www.dyfluid.com/icoFoam.html 东岳老师的“icoFoam解析”中,公式(6)和公式(8)最后一项是不是多乘了一个$ \frac {1}{V_P}$
不然感觉量纲不对?
多谢,已修正方程6、8、11、12、13