Skip to content
  • 最新
  • 版块
  • 东岳流体
  • 随机看[请狂点我]
皮肤
  • Light
  • Cerulean
  • Cosmo
  • Flatly
  • Journal
  • Litera
  • Lumen
  • Lux
  • Materia
  • Minty
  • Morph
  • Pulse
  • Sandstone
  • Simplex
  • Sketchy
  • Spacelab
  • United
  • Yeti
  • Zephyr
  • Dark
  • Cyborg
  • Darkly
  • Quartz
  • Slate
  • Solar
  • Superhero
  • Vapor

  • 默认(不使用皮肤)
  • 不使用皮肤
折叠
CFD中文网

CFD中文网

  1. CFD中文网
  2. 版块
  3. OpenFOAM
  4. OpenFOAM中标准k-e湍流模型的一点疑问

OpenFOAM中标准k-e湍流模型的一点疑问

已定时 已固定 已锁定 已移动 OpenFOAM
11 帖子 4 发布者 14.2k 浏览
  • 从旧到新
  • 从新到旧
  • 最多赞同
回复
  • 在新帖中回复
登录后回复
此主题已被删除。只有拥有主题管理权限的用户可以查看。
  • Y 离线
    Y 离线
    yfclark 神
    写于 最后由 编辑
    #2

    不可压缩湍流模型:

        volScalarField G(GName(), nut_*(tgradU() && dev(twoSymm(tgradU()))));
    

    可压缩湍流模型:

     volScalarField G(GName(), mut_*(tgradU() && dev(twoSymm(tgradU()))));
    

    你看看是不是这样的

    史 1 条回复 最后回复
  • 史 离线
    史 离线
    史浩 神
    在 中回复了 yfclark 最后由 编辑
    #3

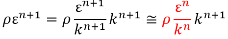
    @yfclark 多谢!这样我理解了G前面的rho的含义了。麻烦老兄看一下我代码注释中的两个问题。公式补充如下:
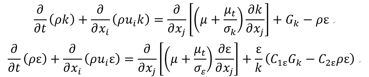
    k与e的控制方程如下:
    943938f6-644c-4fa6-9920-c2e908106852-image.png
    上面的两个公式右侧第三项与OpenFOAM中代码中写的不一样,不知道是我公式的问题,还是OpenFOAM中模型的特殊处理,或者两种表达是等价的?

    让我们随波逐流

    1 条回复 最后回复
  • Y 离线
    Y 离线
    yfclark 神
    写于 最后由 编辑
    #4

    是对应的,fvm::Sp是源项处理,fvm::Sp(C2_*alpha()*rho()*epsilon_()/k_(), epsilon_) 可以理解为
    C2_alpha()*rho()*epsilon_()/k_()*epsilon_,只不过把C2_*alpha()*rho()*epsilon_()/k_()做为显式的系数,epsilon_是求解变量做了隐式处理,论坛里有几个帖子你搜索一下

    史 1 条回复 最后回复
  • 史 离线
    史 离线
    史浩 神
    在 中回复了 yfclark 最后由 李东岳 编辑
    #5

    @yfclark Sp是隐式源项添加方法,将源项加到对角线的元素上。
    epsilon方程中的源项离散可以理解,不过我觉得写成下面的形式收敛性会不会更好一点(红色部分为隐式离散的系数)?
    3c093154-7e72-471f-9ee4-38c4c87e942b-image.png
    在k方程中,右侧第三项是-rho* epsilon,这一项对应的变量不是k,怎么隐式离散?为什么OpenFOAM中其隐式离散的系数为rho* epsilon/k?

    让我们随波逐流

    1 条回复 最后回复
  • Y 离线
    Y 离线
    yfclark 神
    写于 最后由 编辑
    #6

    :ok: :ok: 典型的教科书离散源项方法,你的离散完全正确,k里面应该时强行离散的,目的只是为了增加求解稳定性吧

    史 1 条回复 最后回复
  • 史 离线
    史 离线
    史浩 神
    在 中回复了 yfclark 最后由 编辑
    #7

    @yfclark 多谢老师!解答了我很多疑问。
    之所以对k方程右侧第三项的隐式离散比较感兴趣,是因为他是对另外一个变量的隐式离散,具体处理应该是这样的:
    63bd1e8e-6987-46d9-89a7-1486548a160e-image.png
    通过上述的方式在k方程中对epsilon进行了隐式的离散,增加求解的稳定性
    如果给定任意一个传输方程组,形式如下:
    fe33f579-2424-4d05-8cb3-ad21dfca2477-image.png
    两个方程的右侧第一个源项能很好的隐式离散,但是右侧第二个源项和另外一个方程的变量有关,这个怎么隐式离散?是完全凭经验,还是有一些比较好的方法进行处理?

    让我们随波逐流

    1 条回复 最后回复
  • 大 离线
    大 离线
    大喵
    写于 最后由 编辑
    #8

    大佬,我也遇到和你一样的疑问,为啥G前面多了个rho,不吝赐教万分感谢!!!

    1 条回复 最后回复
  • 李东岳李 离线
    李东岳李 离线
    李东岳 管理员
    写于 最后由 编辑
    #9

    @史浩 对于你$\phi_1$和$\phi_2$这种方程,已经属于耦合系统。只能显性离散。比如$\phi_1$的方程$\phi_2$显性离散

    @大喵 二楼已经回答了啊

    CFD算法编程课: http://dyfluid.com/class.html

    需要帮助debug算例的看这个 https://cfd-china.com/topic/8018

    史 1 条回复 最后回复
  • 史 离线
    史 离线
    史浩 神
    在 中回复了 李东岳 最后由 编辑
    #10

    @东岳 多年的僵尸帖被大佬翻牌子,吓了一跳。当时求解一个耦合方程,自己想着最理想的方式就是全耦合,两个变量组装成一个矩阵,整体求解,然后自己就掉进牛角尖里出不了。后来想k-e模型中两个变量是耦合在一起的,就学习了一下OpenFOAM中湍流方程的处理方法。现在用显示耦合方法计算,然后多迭代一两次,精度并不差,就放弃了最开始整体求解的想法。
    @大喵 这个对方程和代码再好好对应一下,OpenFOAM里面的和经典湍流模型方程是一致的

    让我们随波逐流

    1 条回复 最后回复
  • 大 离线
    大 离线
    大喵
    写于 最后由 编辑
    #11

    谢谢两位大佬@史浩 @东岳

    1 条回复 最后回复

京ICP备15017992号-2

  • 登录

  • 登录或注册以进行搜索。
  • 第一个帖子
    最后一个帖子
0
  • 最新
  • 版块
  • 东岳流体
  • 随机看[请狂点我]