Skip to content
  • 最新
  • 版块
  • 东岳流体
  • 随机看[请狂点我]
皮肤
  • Light
  • Cerulean
  • Cosmo
  • Flatly
  • Journal
  • Litera
  • Lumen
  • Lux
  • Materia
  • Minty
  • Morph
  • Pulse
  • Sandstone
  • Simplex
  • Sketchy
  • Spacelab
  • United
  • Yeti
  • Zephyr
  • Dark
  • Cyborg
  • Darkly
  • Quartz
  • Slate
  • Solar
  • Superhero
  • Vapor

  • 默认(不使用皮肤)
  • 不使用皮肤
折叠
CFD中文网

CFD中文网

  1. CFD中文网
  2. 版块
  3. OpenFOAM
  4. 不可压湍流模型改成可压湍流模型

不可压湍流模型改成可压湍流模型

已定时 已固定 已锁定 已移动 OpenFOAM
31 帖子 4 发布者 39.5k 浏览
  • 从旧到新
  • 从新到旧
  • 最多赞同
回复
  • 在新帖中回复
登录后回复
此主题已被删除。只有拥有主题管理权限的用户可以查看。
  • C 离线
    C 离线
    Calf.Z-DNS
    在 中回复了 Calf.Z-DNS 最后由 李东岳 编辑
    #22

    @Calf-Z-DNS 对于LB,应该是- fvm::SuSp(2.0/3.0*alpha*rho*divU, k_)与 - fvm::SuSp(((2.0/3.0)*Ceps1_ - C3_)*alpha*rho*divU, epsilon_),不小心复制成komega了。

    1 条回复 最后回复
  • C 离线
    C 离线
    cccrrryyy 超神
    写于 最后由 编辑
    #23

    辛苦辛苦。

    OpenFOAM的kEpsilon模型是没有考虑浮升力的,所以这个文章里面带浮升力的项本身就是额外的。你从代码里也可以看到,OpenFOAM的kEpsilon是没有包含重力加速度的(OpenFOAM-4.x)。参见这里,https://www.openfoam.com/documentation/guides/latest/doc/guide-turbulence-ras-k-epsilon.html。

    我个人感觉你目前还不需要考虑浮升力这一项,这个文章看标题它是针对buoyancy-driven flow的,所以它需要处理浮升力。从你要修改湍流模型的角度来讲这些都属于附加项,可以先不考虑吧。

    话说这个Chalmers University of Technology好像开了好几年的针对OpenFOAM的课程了(http://www.tfd.chalmers.se/~hani/kurser/OS_CFD/),是个不错的学习材料!

    I don't want to survive, I want to thrive.

    C 1 条回复 最后回复
  • C 离线
    C 离线
    Calf.Z-DNS
    在 中回复了 cccrrryyy 最后由 编辑
    #24

    @cccrrryyy 谢谢!

    不过我的case正好是研究考虑浮升力的影响而引起的传热恶化现象,所以感觉有必要研究一下GB这一项。Chalmers 的课程我之前有注意到过。

    李东岳李 1 条回复 最后回复
  • 李东岳李 离线
    李东岳李 离线
    李东岳 管理员
    在 中回复了 Calf.Z-DNS 最后由 李东岳 编辑
    #25

    @Calf-Z-DNS 在 不可压湍流模型改成可压湍流模型 中说:

    浮升力的影响而引起的传热恶化现象

    https://github.com/OpenFOAM/OpenFOAM-3.0.x/blob/master/src/TurbulenceModels/compressible/RAS/buoyantKEpsilon/buoyantKEpsilon.H

    我没关注过LB湍流模型。不过你看看能不能把上面代码中的GB放到你的LamBremhorstKE模型里面来考虑浮升力的影响而引起的传热恶化现象

    捕获.JPG

    CFD算法编程课: http://dyfluid.com/class.html

    需要帮助debug算例的看这个 https://cfd-china.com/topic/8018

    1 条回复 最后回复
  • C 离线
    C 离线
    Calf.Z-DNS
    写于 最后由 编辑
    #26

    谢谢老师!
    我正在尝试把buoyantKEpsilon的GB放到我的代码中。

    有两个问题:
    1.采用湍流模型的话,控制方程引入的项:
    动量.png
    能量.png

    这两项是采用湍流模型时自动加的,还是需要在求解器代码里面添加?

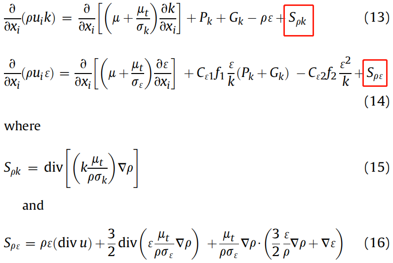
    2.如果我想在湍流方程里面添加红框的这两项:
    源项.png

    是直接植入公式,还是要用fvm::Susp(...)或者fvm::Sp(...)套进去?
    我看有的直接写,有的是套进去,不知道有没有什么原则。
    另外我看fvm::Susp(...)跟fvm::Sp(...)前面经常加负号,这是为了收敛性?那如果公式里面是加上这个源项,那么应该写成 - fvm::Susp(- 源项)? 谢谢。

    1 条回复 最后回复
  • 李东岳李 离线
    李东岳李 离线
    李东岳 管理员
    写于 最后由 编辑
    #27

    最简单的是直接显性离散。就是直接写进去。

    具体显性离散还是隐性离散得看收敛性如何,需要去尝试。除非你确定他能增加对角占优,就隐性离散。加负号是因为这一项若隐形离散可以增加对角占优(很确定)。

    CFD算法编程课: http://dyfluid.com/class.html

    需要帮助debug算例的看这个 https://cfd-china.com/topic/8018

    C 1 条回复 最后回复
  • C 离线
    C 离线
    Calf.Z-DNS
    在 中回复了 李东岳 最后由 编辑
    #28

    @东岳 谢谢老师!

    我拿着改完的LB模型(植入GB这一项),去跑常温常压下普通水的流动传热。用的查表法获取物性,当做可压问题处理。

    奇怪的是一直遇到壁温不断升高的问题。
    温度异常.jpg

    图是中心剖面的温度场,头尾绝热,中间段加热,但是看上去热量一直传不进去,壁温也一直在升高。

    我用相同的求解器和物性库,拿kw模型来算就正常。

    算例设置,代码,网格我都有调试过,没有实质性突破。不知道可能会是啥原因造成的?谢谢!

    1 条回复 最后回复
  • C 离线
    C 离线
    Calf.Z-DNS
    写于 最后由 编辑
    #29

    我还想问下大家有跑通用低雷诺数湍流模型的例子吗?

    不知道对它有没有什么特殊的边界条件设置,或者是其他需要注意的地方。

    我的例子都是压力跟速度的径向方向残差比较高,很难达到收敛。

    谢谢!

    D 1 条回复 最后回复
  • D 离线
    D 离线
    Dingcy
    在 中回复了 Calf.Z-DNS 最后由 编辑
    #30

    @Calf-Z-DNS 之前硕士的时候在做示踪剂在水中传输过程中,密度随浓度变化的问题,所处理的问题和你遇到的差不多,我的压力也是收敛的不太好,大概在0.01,然后硕士毕业时间紧迫问题就放下了,看见有人也在做这个问题,突然感觉我以前做的工作还挺有意义的(以前觉得没什么意义:xinlei: ),现在突然想捡起来做一做了:chitang:

    我希望我得到的少一点,少一点,再少一点......

    C 1 条回复 最后回复
  • C 离线
    C 离线
    Calf.Z-DNS
    在 中回复了 Dingcy 最后由 编辑
    #31

    @Dingcy 哈哈我是在用低雷诺数湍流模型算超临界CO2流动传热的例子,物性变化很剧烈,不好收敛。

    1 条回复 最后回复

京ICP备15017992号-2

  • 登录

  • 登录或注册以进行搜索。
  • 第一个帖子
    最后一个帖子
0
  • 最新
  • 版块
  • 东岳流体
  • 随机看[请狂点我]