Skip to content
  • 最新
  • 版块
  • 东岳流体
  • 随机看[请狂点我]
皮肤
  • Light
  • Cerulean
  • Cosmo
  • Flatly
  • Journal
  • Litera
  • Lumen
  • Lux
  • Materia
  • Minty
  • Morph
  • Pulse
  • Sandstone
  • Simplex
  • Sketchy
  • Spacelab
  • United
  • Yeti
  • Zephyr
  • Dark
  • Cyborg
  • Darkly
  • Quartz
  • Slate
  • Solar
  • Superhero
  • Vapor

  • 默认(不使用皮肤)
  • 不使用皮肤
折叠
CFD中文网

CFD中文网

  1. CFD中文网
  2. OpenFOAM
  3. 液态水状态方程

液态水状态方程

已定时 已固定 已锁定 已移动 OpenFOAM
1 帖子 1 发布者 2.5k 浏览
  • 从旧到新
  • 从新到旧
  • 最多赞同
回复
  • 在新帖中回复
登录后回复
此主题已被删除。只有拥有主题管理权限的用户可以查看。
  • siboS 离线
    siboS 离线
    sibo
    写于 最后由 编辑
    #1

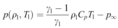
    我在做gas-liquid compressible flow时,需要water的equation of state 去解液态场的压力。
    我知道现在有这样几种方法:
    the stiffened-gas equation
    the Tait equation
    Noble-Abel Stiffened-Gas equation of state
    想问一下大家有没有这方面的经验,因为有很多系数,不太清楚怎么选择系数。比如:
    0_1520637932983_Screen Shot 2018-03-09 at 5.25.10 PM.png
    关于gamma和P_infinite的选择会影响很大

    谢谢大家!

    1 条回复 最后回复

京ICP备15017992号-2

  • 登录

  • 登录或注册以进行搜索。
  • 第一个帖子
    最后一个帖子
0
  • 最新
  • 版块
  • 东岳流体
  • 随机看[请狂点我]