Skip to content
  • 最新
  • 版块
  • 东岳流体
  • 随机看[请狂点我]
皮肤
  • Light
  • Cerulean
  • Cosmo
  • Flatly
  • Journal
  • Litera
  • Lumen
  • Lux
  • Materia
  • Minty
  • Morph
  • Pulse
  • Sandstone
  • Simplex
  • Sketchy
  • Spacelab
  • United
  • Yeti
  • Zephyr
  • Dark
  • Cyborg
  • Darkly
  • Quartz
  • Slate
  • Solar
  • Superhero
  • Vapor

  • 默认(不使用皮肤)
  • 不使用皮肤
折叠
CFD中文网

CFD中文网

  1. CFD中文网
  2. 版块
  3. OpenFOAM
  4. 同位网格下的压力计算问题

同位网格下的压力计算问题

已定时 已固定 已锁定 已移动 OpenFOAM
7 帖子 3 发布者 8.7k 浏览
  • 从旧到新
  • 从新到旧
  • 最多赞同
回复
  • 在新帖中回复
登录后回复
此主题已被删除。只有拥有主题管理权限的用户可以查看。
  • yhdthuY 离线
    yhdthuY 离线
    yhdthu 大神
    写于 最后由 编辑
    #1

    最近做了一个一维蒸发的测试算例,发现of算出来的速度和相分数分布是对的,但是压力分布却是错的,记得之前跟老师交流过,同位网格很容易出现这个问题,但是想不太通为什么会这样,哪位可以指导一下?~

    长风破浪会有时,直挂云帆济沧海

    M 1 条回复 最后回复
  • 李东岳李 离线
    李东岳李 离线
    李东岳 管理员
    写于 最后由 编辑
    #2

    什么样的物理过程?发云图看看?显示cell value,

    CFD算法编程课: http://dyfluid.com/class.html

    需要帮助debug算例的看这个 https://cfd-china.com/topic/8018

    yhdthuY 1 条回复 最后回复
  • M 离线
    M 离线
    mohui
    在 中回复了 yhdthu 最后由 编辑
    #3

    @yhdthu 现在不都是使用同位网格吗,用rhie-chow插值方法可以避免棋盘型网格出现。压力分布出错是不是和压力源项的添加有关呢?

    yhdthuY 1 条回复 最后回复
  • yhdthuY 离线
    yhdthuY 离线
    yhdthu 大神
    在 中回复了 李东岳 最后由 编辑
    #4

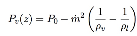
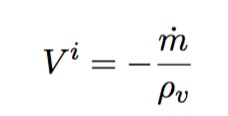
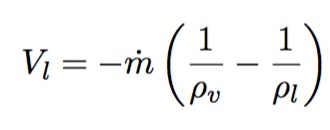
    @李东岳 前辈好~模型大概如下:
    0_1510880579824_WechatIMG16443.jpeg

    初始状态静止,vapor侧的壁面加热,liquid蒸发界面开始向上移动,界面速度和水相速度都有解析解,另外还有间断压力。

    界面速度
    0_1510880898762_WechatIMG16444.jpeg

    liquid速度
    0_1510880905880_WechatIMG16445.jpeg

    压力间断
    0_1510880911743_WechatIMG16446.jpeg

    我用的是interPhaseChangeFoam算的,自己改了改源项,发现除了压力其他能对上解析解。

    2_1510881232808_WechatIMG16449.jpeg 1_1510881232807_WechatIMG16448.jpeg 0_1510881232807_WechatIMG16447.jpeg

    我想,由于解的是one-field方程,速度和压力都是mixed的,应该是光滑的;另外没做界面重构,interface无法keep sharp,这会导致压力方程源项配置出问题,导致压力计算错误。

    长风破浪会有时,直挂云帆济沧海

    1 条回复 最后回复
  • yhdthuY 离线
    yhdthuY 离线
    yhdthu 大神
    在 中回复了 mohui 最后由 编辑
    #5

    @mohui 同位网格下的cell velocity和surface velocity更新不一致,尤其在多相流计算中体现更明显,我想这是因为间断边界处理不当导致的

    长风破浪会有时,直挂云帆济沧海

    M 1 条回复 最后回复
  • M 离线
    M 离线
    mohui
    在 中回复了 yhdthu 最后由 编辑
    #6

    @yhdthu 简短边界是指气液界面处吗?另外看你的压力图哪里不对呢?

    yhdthuY 1 条回复 最后回复
  • yhdthuY 离线
    yhdthuY 离线
    yhdthu 大神
    在 中回复了 mohui 最后由 编辑
    #7

    @mohui 是的,interface处是有间断的,但是one-field形式的控制方程体现不出来间断
    压力分布不对,看一下理论解就明白了~

    长风破浪会有时,直挂云帆济沧海

    1 条回复 最后回复

京ICP备15017992号-2

  • 登录

  • 登录或注册以进行搜索。
  • 第一个帖子
    最后一个帖子
0
  • 最新
  • 版块
  • 东岳流体
  • 随机看[请狂点我]