twoPhaseEulerFoam中的dilatation rates
- 
							
							
							
							
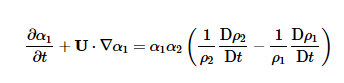
最近在推导体积分数alpha的方程。理论上来说compressibleInterFoam和twoPhaseEulerFoam中的体积分数方程应该是相同的(不考虑相间的质量传递时),即“东岳流体”中的公式: 
  
 在compressibleInterFoam中,dilatation项定义为:dgdt = ( pos(alpha2)*(p_rghEqnComp2 & p_rgh)/rho2 - pos(alpha1)*(p_rghEqnComp1 & p_rgh)/rho1 );这个和东岳流体中的定义是一致的。 
 而在twoPhaseEulerFoam中,dilatation项的定义为:fluid.dgdt() = ( alpha1*(pEqnComp2 & p_rgh) - alpha2*(pEqnComp1 & p_rgh) );这个显然和公式推导出的不一致,但是在后续的体积分数方程计算时,我并没有看到程序对这项有什么特殊处理,这是否是错误的? 
 另外还想问问各位大神,pEqnComp2 & p_rgh是代表什么意思?pEqnComp2 是fvScalarMatrix类型,而p_rgh是volScalarField类型,中间的操作符&表示什么,是OpenFoam进行算符重构了吗?
- 
							
							
							
							
							
							
dgdt要和MULES求解的相方程匹配。单看twoPhaseEulerFoam,在OpenFOAM-2.2.x中定义为:dgdt = ( pos(alpha2)*(pEqnComp2 & p)/rho2 - pos(alpha1)*(pEqnComp1 & p)/rho1 );在OpenFOAM-2.3.x中定义为: fluid.dgdt() = ( alpha1*(pEqnComp2 & p_rgh) - alpha2*(pEqnComp1 & p_rgh) );我并没有看到程序对这项有什么特殊处理 你应该看的是OpenFOAM-2.3.x以后的版本。你可以看一下 alphaEqn的处理。&是进行重构了。矩阵稀疏×场,在OpenFOAM中很常见,类似一种反离散 ,还原回去。 
- 
							
							
							
							
@李东岳 多谢东岳。还有几处不太明白。 
 (1)OpenFoam对 &的重构是在哪定义的呢?具体到当前的这个&,类似于反离散?具体返回什么值呢?
 (2)我看的是OpenFOAM-4.0.x。无论dgdt的定义如何,最后应该都能回归到体积分数的求解公式,也就是: 
 OpenFOAM-2.3中twoPhaseEulerFoam里dgdt的定义,与OpenFOAM4.0.x里compressibleInterFoam的定义是相同的,最后在显式和隐式源项相加后还能恢复到公式。
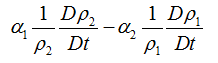
 但是OpenFOAM4.0.x里twoPhaseEulerFoam的定义中,显式和隐式源项相加后并不能得到体积分数公式。在twoPhaseSystem中,其源项定义为:forAll(dgdt_, celli) { if (dgdt_[celli] > 0.0) { Sp[celli] -= dgdt_[celli]/max(1.0 - alpha1[celli], 1e-4); Su[celli] += dgdt_[celli]/max(1.0 - alpha1[celli], 1e-4); } else if (dgdt_[celli] < 0.0) { Sp[celli] += dgdt_[celli]/max(alpha1[celli], 1e-4); } }也就是得到,alpha*Sp+Su=dgdt + Su这个结果,这个公式显然与体积分数公式不同。体积分数公式中右端项为  
 而现在得到的结果是: 。 。
- 
							
							
							
							
是的,你说的对。我又看了下,在23x以后, dgdt中pEqnComp的定义为:pEqnComp1 = ( fvc::ddt(alpha1, rho1) + fvc::div(alphaRhoPhi1) - (fvOptions(alpha1, rho1)&rho1) - fvc::Sp(fvc::ddt(alpha1) + fvc::div(alphaPhi1), rho1) )/rho1 + (alpha1*psi1/rho1)*correction(fvm::ddt(p)); pEqnComp2 = ( fvc::ddt(alpha2, rho2) + fvc::div(alphaRhoPhi2) - (fvOptions(alpha2, rho2)&rho2) - fvc::Sp(fvc::ddt(alpha2) + fvc::div(alphaPhi2), rho2) )/rho2 + (alpha2*psi2/rho2)*correction(fvm::ddt(p));在这俩个定义中,和分别包含了 alpha,因此再乘以时候,就是alpha1*alpha2。
- 
							
							
							
							
请问 pEqnComp1 & p_rgh这一项为什么是$ D\rho /Dt$ ?而且在新旧两个版本的pEqncomp1表达式中都是这样的。我搜索到了一些资料,https://www.cfd-online.com/Forums/openfoam/92947-openfoam-syntax.html https://www.cfd-online.com/Forums/openfoam-solving/70965-formulation-compressibleinterfoam-4.html 但都没有解释好这个问题。请问有可以参考的资料吗?谢谢!
 
			

