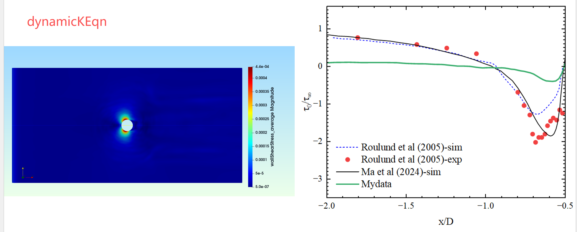
利用不同的湍流模型计算Wallshearstress
-
两个问题:
- 你的图里面为什么 wallShearStressMean 这个场在体网格也有值?正常情况下,wallShearStress 场只在壁面上才有值,所以你对比的数据是否确定是 wallShearStress
- 如果对比的数据没有问题,LES 计算得到的 WSS 显著小于 RANS,这就是典型的 Modeled stress depletion,原因是你的网格太粗,尤其是近壁面的网格太粗,远达不到 LES 的要求。由于没有足够小的网格来解析近壁面附近的小尺度脉动,同时数值上计算出来的 nut 又非常小,表现出来的现象就是WSS远小于实际值。改善的办法一个是加密壁面附近网格,达到 WRLES 的标准;或者,使用 WMLES(参考libwmles库)。


