采用焓-多孔介质方法模拟相变材料熔化过程交流讨论
-
各位Foamer大家好,很高兴获得中文网的邀请码和大家进行交流。 首先说下我的情况:我的课题是关于电场作用下相变材料熔化过程研究,前期课题在学校主要以实验为主。但受疫情影响,目前在家采用openfoam模拟电场力作用下流动传热问题。前期在看了有限体积法基本原理、压力速度耦合求解等策略后,目前能够在动量方程中植入电场力来模拟单相液体流动传热问题,处于入门进阶阶段。这个过程必须要感谢东岳老师在“东岳流体”官网上提供的基本求解器解析及其他素材,使我入门在openfoam入门过程少走了很多弯路,再次对东岳老师及提供的平台表示感谢。
言归正传,我目前在进行采用焓-多孔介质模型模拟恒定密度下纯物质熔化过程。目前我所知道的相变材料熔化过程能量方程可分为求解温度方程或求解焓方程。在求解温度的能量方程中,由于温度和液相分数存在非线性的耦合关系,Voller等人提出了对温度和液相分数进行迭代的方法(文献1:A General Enthalpy Method for Modeling Solidification Processes),目前openfoam中的fvoption/solidificationMeltingSource 应该基于这个原理;Fabian等人通过引入误差函数来构建液相分数和温度的关系(文献2:Shell-and-tube type latent heat thermal energy storage: numerical analysis and comparison with experiments),同时基于误差函数的求解方法及模拟相变材料熔化的求解器在cfd-online上也引起了广泛的讨论(https://www.cfd-online.com/Forums/openfoam-solving/93620-melting-problem-looking-appropriate-solvers-13.html#post652310)。
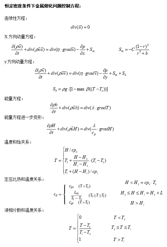
在通过求解焓方程方面,受到文献3(Physics of humping formation in laser powder bed fusion)的启发,我在openfoam中植入了求解焓的方程,其中基本控制方程见附图1

通过求解焓获得温度和液相分数。并采用开发的求解器模拟金属镓的熔化过程,其中镓选取和文献1相同的物性,得到的模拟结果中的总液相分数和文献1中的结果相差不大,其中文献1的数值模拟结果和实验进行过对比,其中文献1的结果总体相对可靠,经常当做benchmark,。但是附图2中的固液相分界面位置和文献1结果存在偏差,

也就是我得到的相界面上部较文献1落后,底部熔化快于文献1,对于出现该问题的原因我至今还没找到,因此特开此帖和大家进行交流讨论,最后附上我的solver和case,
热切希望大家能给出一些建议。PS:本帖文风略显正式,希望大家不要见怪哦~
